Class X Math
NCERT Solutions for Polynomials
Q1. The graphs of y = p(x) are given in the figure given below. for some polynomials p (x). Find the number of zeroes of p (x), in each case
Sol. (i) The given graph is parallel to x-axis. It does not intersect the x-axis.
(ii) The given graph intersects the x-axis at one point only.
(iii) The given graph intersects the x-axis at three points.
(iv) The given graph intersects the x-axis at two points.
(v) The given graph intersects the x-axis at four points.
(vi) The given graph meets the x-axis at three points.
NCERT TEXTBOOK QUESTIONS SOLVED
Q1. Find the zeroes of the following quadratic polynomials and verify the relationship between the zeroes and the coefficients.
(i) x2 – 2x – 8
(ii) 4s2 – 4s + 1
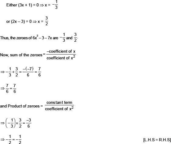
(iii) 6x2 – 3 – 7x
(iv) 4u2 + 8u
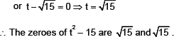
(v) t2 – 15
(vi) 3x2 – x – 4
We have p(x) = x2 – 2x – 8
= x2 + 2x – 4x – 8 = x (x + 2) – 4 (x + 2)
∴ The zeroes of x2 2x – 8 are 4 and –2.
Now, sum of the zeroes

Thus, relationship between zeroes and the coefficients in x2 – 2x – 8 is verified.
We have p(s) = 4s2 – 4s + 1
= 4s2 – 2s – 2s + 1 = 2S (2S – 1) –1 (2s – 1)
Thus, the relationship between the zeroes and coefficients in the polynomial 4s2 – 4s + 1 is verified.
= 3x (2x – 3) + 1 (2x – 3)
Thus, the relationship between the zeroes and the coefficients in the polynomial 6x2 – 3 – 7x is verified.
We have, f(u) = 4u2 + 8u = 4u (u + 2)
∴ The zeroes of 4u2 + 8u and 0 and –2
Now, 4u2 + 8u can be written as 4u2 + 8u + 0.
Thus, the relationship between the zeroes and the coefficients in the polynomial 4u2 + 8u is verified.
Now, we can write t2 – 15 as t2 + 0t – 15.
Thus, the relationship between the zeroes and the coefficients in the polynomial t2 – 15 is verified.
f(x) = 3x2 – x – 4 = 3x2 + 3x – 4x – 4
For f(x) = 0 ⇒ (x + 1) (3x – 4) = 0
Either (x + 1) = 0 ⇒ x = – 1
Thus, the relationship between the zeroes and the coefficients in 3x2 – x – 4 is verified.
Q2. Find a quadratic polynomial each with the given numbers as sum and product of its zeroes respectively:
A quadratic polynomial whose zeroes are α and β is given by
p(x) = {x2 – (α + β) x + αβ}
p(x) = {x2 – (sum of the zeroes) x – (product of the zeroes)}
(i) Since, sum of the zeroes,

Product of the zeroes, α β = –1
∴ The required quadratic polynomial is
Since,

have same zeroes,

is the required quadratic polynomial.
(ii) Since, sum of the zeroes,

Product of zeroes,

∴The required quadratic polynomial is
Since,

have same zeroes,

is required quadratic polynomial.
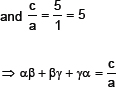
(iii) Since, sum of zeroes, (α + β) 0
Product of zeroes, αβ = 5
∴ The required quadratic polynomial is
(iv) Since, sum of the zeroes, (α + β) = 1
Product of the zeroes = 1
∴ The required quadratic polynomial is
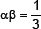
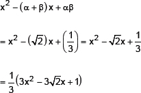
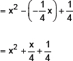
(v) Since, sum of the zeroes,

Product of the zeroes

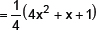
∴ The required quadratic polynomial is
Since,

and (4x
2 + x + 1) have same zeroes, the required quadratic polynomial is (4x
2 + x + 1).
(vi) Since, sum of the zeroes, (α + β) = 4
Product of the zeroes, αβ = 1
∴ The required quadratic polynomial is
Q1. Q1. Divide the polynomial p (x) by the polynomial g(x) and find the quotient and remainder in each of the following:
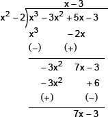
(i) p (x) = x3 – 3x2 + 5x – 3, g (x) = x2 – 2
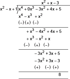
(ii) p (x) = x4 – 3x2 + 4x + 5, g (x) = x2 + 1 – x
(iii) p (x) = x3 – 5x + 6, g (x) = 2 – x2
Sol. Here, dividend p (x) = x3 – 3x2 + 5x – 3
Thus, the quotient = (x – 3) and remainder = (7x – 9)
(iii) Here, dividend p(x) = x4 – 3x2 + 4x + 5
and divisor g(x) = x2 + 1 – x
Thus, the quotient is (x2 + x – 3) and remainder = 8
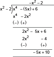
(iii) Here, divided, p(x) = x4 – 5x + 6
and divisor, g(x) = 2 – x2
Thus, the quotient = –x2 – 2 and remainder = –5x + 10.
Q2. Check whether the first polynomial is a factor of the second polynomial by dividing the second polynomial by the first polynomial:
(i) t2 – 3; 2t4 + 3t3 – 2t2 – 9t – 12
(ii) x2 + 3x + 1; 3x4 + 5x3 – 7x2 + 2x + 2
(iii) x3 + 3x + 1; x5 + 4x3 + x + 3x + 1
Sol. (i) Dividing 2t4 + 3t3 – 2t2 – 9t – 12 by t2 – 3,
∴ Remainder = 0
∴ (t2 – 3) is a factor of 2t4 + 3t3 – 2t2 – 9t – 12.
(ii) Dividing 3x4 + 5x3 – 7x2 + 2x + 2 by
∴ Remainder = 0.
∴ x2 + 3x + 1 is a factor of 3x4 + 5x3 – 7x2 + 2x + 2.
(iii) Dividiing x5 + 4x3 + x + 3x + 1, we get:
∴ The remainder = 2, i.e., remainder ≠ 0
∴ x3 – 3x + 1 is not a factor of
Q3. Obtain all other zeroes of 3x
4 + 6x
3 – 2x
2 – 10x – 5, if two of its zeroes are

Sol. We have p(x) = 3x4 + 6x3 – 2x2 – 10x – 5
Now, let us divide 3x
4 + 6x
3 – 2x
2 – 10x – 5 by

∴ 3x4 + 6x3 – 2x2 – 10x – 5
Thus, all the other zeroes of the given polynomial are –1 and –1.
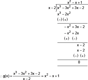
Q4. On dividing x3 – 3x2 + x + 2 by a polynomial g(x), the quotient and remainder were x – 2 and –2x + 4 respectively. Find g(x).
Dividened p(x) = x3 – 3x2 + x + 2
(Quotient – Divisor) + Remainder = Dividend
∴ [(x – 2)] – g(x)] + [(–2x + 4)] = x3 – 3x2 + x + 2
⇒ (x – 2) – g(x) = x3 – 3x2 + x + 2 – (–2x + 4)
= x3 – 3x2 + x + 2 + 2x – 4
Now, dividing x3 – 3x2 + 3x – 2 by x – 2,
Thus, the required divisor g(x) = x2 – x + 1.
Q5. Give example of polynomials p(x), g(x), q(x) and r(x), which satisfy the division algorithm and
(i) deg p(x) = deg q (x)
(ii) deg q(x) = deg r (x)
(iii) deg r (x) = 0
⇒ p(x) = q(x) × g(x) + r(x).
(ii) p(x) = 2x3 – 2x2 + 2x + 3
⇒ p(x) = q(x) × g(x) + r(x)
(iii) p(x) = 2x3 – 4x2 + x + 4
⇒ p(x) = q(x) × g(x) + r(x)
Q1. Verify that the numbers given alongside of the cubic polynomials below are their zeroes. Also verify the relationship between the zeroes and the coefficients in each case:
(i)

(i) x3 – 4x2 + 5x – 2; 2, 1, 1
Sol. (i) ∵ p(x) = 2x3 + x2 – 5x + 2
p(1) = 2(1)3 + (1)2 – 5(1) + 2
p(–2) = 2(–2)3 + (–2)2 –5 (–2) + 2
∵p(x) = 2x3 + x2 – 5x + 2
∴Comparing it with ax3 + bx2 + cx + d, we have:
a = 2, b = 1, c = – 5 and d = 2
Also

1 and – 2 are the zeroes of p(x)
Sum of product of zeroes taken in pair:
Thus, the relationship between the co-efficients and the zeroes of p(x) is verified.
(ii) Here, p(x) = x3 – 4x2 + 5x – 2
p(2) = (2)3 – 4(2)2 + 5(2) – 2
Again p(1) = (1)3 – 4(1)2 + 5(1) – 2
∴2, 1, 1 are zeroes of p(x).
p(x) = x3 – 4x2 + 5x – 2 with ax3 + bx2 +cx + d = 0, we have
a = 1, b = –4, c = 5 and d = –2
∵2, 1, 1 are the zeroes of p(x)
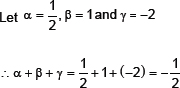
Relationship, α + β + γ = 2 + 1+ 1 = 4
Sum of product of zeroes taken in pair:
αβ + βγ + γα = 2(1) + 1(1) + 1(2)
Product of zeroes = αβγ = (2) (1) (1) = 2
Thus, the relationship between the zeroes and the co-efficients of p(x) is verified.
Q2. Find the cubic polynomial with the sum, of the products of its zeroes taken two at a time and the product of its zeroes as 2, –7, –14 respectively.
Sol. Let the required cubic polynomial be ax3 + bx2 + cx + d and its zeroes be α, β and γ
∴The required cubic polynomial
= 1x3 + (–2)x2 + (–7)x + 14
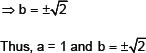
Q3. If the zeroes of the polynomial x3 – 3x2 + x + 1 are a – b, a and a + b then find ‘a’ and ‘b’.
comparing it with Ax3 + Bx2 + Cx + D.
A = 1, B = –3, C = 1 and D = 1
∵It is given that (a – b), a and (a + b) are the zeroes of the polynomial.
⇒ (a – b) + a + (a + b) = 3
⇒ (a – b) × a × (a + b) = –1
⇒ (1– b) ×1× (1 + b) = –1
Q4. If two zeroes of the polynomial x
4 6x
3 – 26x
2 + 138x – 35 are

find other zeroes.
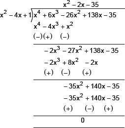
Sol. Here, p(x) = x4 – 6x3 – 26x2 + 138x – 35.
∴Two of the zeroes of p (x) are:

Now, dividing p (x) by x2 – 4x + 1, we have:
∴(x2 – 4x + 1)(x2 – 2x – 35) = p(x)
⇒ (x2 – 4x + 1) (x – 7) (x + 5) = p(x)
i.e., (x – 7) and (x + 5) are other factors of p(x).
∴7 and –5 are other zeroes of the given polynomial.
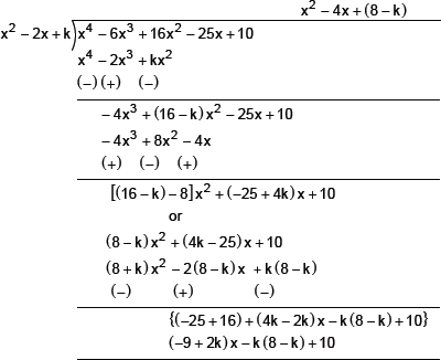
Q5. If the polynomial x4 – 6x3 + 16x2 – 25x + 10 is divided by another polynomial x2 – 2x + k, the remainder comes out to be (x + α ), find k and α.
Sol. Applying the division algorithm to the polynomials x4 – 6x3 + 16x2 – 25x + 10 and x2 – 2x + k, we have:
∴Remainder = (2k – 9) x – k(8 – k) + 10
But the remainder = x + α
Therefore, coparing them, we have: