Quadratic Equations-NCERT Solutions

Class X Math
NCERT Solution for Arithmetic Progressions
NCERT TEXTBOOK QUESTIONS SOLVED
EXERCISE: 5.1
Q.1.    In which of the following situations, does the list of numbers involved make an arithmetic progression, and why?
             (i) The taxi fare after each km when the fare is Rs. 15 for the first km and Rs. 8 for each additional km.
             (ii) The amount of air Present in a cylinder when a vacuum pump removes of the air remaining in the cylinder at a time.
             (iii) The cost of digging a well after every metre of digging, when it costs 150 for the first metre and rises by Rs. 50 for each subsequent metre.
             (iv) The amount of money in the account every year, when Rs. 10,000 is deposited at compound interest at 8% per annum.
Sol.      (i) Let us consider,
                  The first term (T1) = Fare for the first km = Rs. 15 since, the taxi fare beyond the first km is Rs. 8 for each additional km.                  ⇒ T1 = 15
                  ∴ Fare for 2 km = Rs. 15 + 1 x Rs. 8 ⇒ T2 = a + 8                 [where a = 15]
                  Fare for 3km = Rs.15 + 2 × Rs. 8 ⇒ T3 = a + 16
                  Fare for 4km = Rs.15 + 3 × Rs.8 ⇒ T4 = a + 24
                  Fare for 5km = Rs.15 + 4 x Rs. 8 ⇒ T5 = a +32
                  Fare for n km = Rs. 15 + (n – 1)8 ⇒ Tn = a + (n – 1) 8
                  We see that above terms form an A.P.
           (ii) Let the amount of air in the cylinder = x
                  
                  
           (iii) Here, The cost of digging for 1st metre = Rs. 150
                  The cost of digging for first 2 metres = Rs. 150 + 50 = Rs. 200
                  The cost of digging for first 3 metres = Rs. 150 + (Rs. 50) × 2 = Rs. 250
                  The cost of digging for first 4 metres = Rs. 150 + (Rs. 50) × 3 = Rs. 300
                  ∴ The terms are: 150, 200, 250, 300, ...
                  Since, 200 – 150 = 50
                  And 250 – 200 = 50
                  ⇒ (200 – 150) = (250 – 200)
                  ∴ The above terms form an A.P.
           
Q.2.    Write first four terms of the AP, when the first term a and the common difference d are given as follows:
              (i) a = 10, d = 10
(ii) a = –2, d = 0
              (iii) a = 4, d = – 3
(iv)
              (v) a = – 1.25, d = – 0.25
Sol.      (i) ∵ Tn = a + (n – 1)d
                  ∴ For a = 10 and d = 10, we have:
                  T1 = 10 + (1 – 1) × 10 = 10 + 10 = 10
                  T2 = 10 + (2 – 1) × 10 = 10 + 10 = 20
                  T3 = 10 + (3 – 1) × 10 = 10 + 20 = 30
                  T4 = 10 + (4 – 1) × 10 = 10 + 30 = 40
                  Thus, the first four terms of A.P. are:
                  10, 20, 30, 40.
           (ii) T = a + (n – 1) d
                  ∴ For a = – 2and d = 0, we have:
                  T1 = – 2 + (1 – 1) × 0 = – 2 + 0 = –2
                  T2 = – 2 + (2 – 1) × 0 = – 2 + 0 = –2
                  T3 = – 2 + (3 – 1) × 0 = – 2 + 0 = –2
                  T4 = – 2 + (4 – 1) × 0 = – 2 + 0 = –2
                  ∴ The first four terms are:
                  – 2, – 2, – 2 – 2.
          (iii) Tn = a + (n – 1)d
                  ∴ For a = 4 and d = – 3, we have:
                  T1 = 4 + (1 – 1) × ( – 3) = 4 + 0 = 4
                  T2 = 4 + (2 – 1) × ( – 3) = 4 + (–3) = 1
                  T3 = 4 + (3 – 1) × ( – 3) = 4 + (–6) = –2
                  T4 = 4 + (4 – 1) × ( – 3) = 4 + (–9) = –5
                  Thus, the first four terms are:
                  4, 1, – 2, – 5.
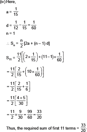
          (iv) Tn = a + (n – 1)d
                  
          (v) Tn = a + (n – 1)d
                  ∴ For a = –1.25 and d = –0.25, we get
                  T1 = –1.25 + (1 – 1) × (–0.25) = –1.25 + 0 = – 1.25
                  T2 = –1.25 + (2 – 1) × (–0.25) = –1.25 + 0 = – 1.25
                  T3 = –1.25 + (3 – 1) × (–0.25) = –1.25 + 0 = – 1.25
                  T4 = –1.25 + (4 – 1) × (–0.25) = –1.25 + 0 = – 1.25
                  Thus, the four terms are:
                  –1.25 , –1.50, –1.75, –2.0
Q.3.    For the following APs, write the first term and the common difference:
             (i) 3, 1, –1, –3, ....
(ii) –5, –1, 3, 7, ....
             (iii)
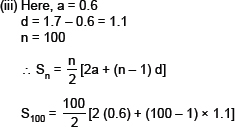
(iv) 0.6, 1.7, 2.8, 3.9, ...
Sol.      (i) We have : 3, 1, –1, –3, ....
                  ⇒ T1 = 3 ⇒ a = 3
                  T2 = 1
                  T3 = – 1
                  T4 = – 3
                  ∴ T2 – T1 = 1 – 3 = –2
                  T4 – T3 = –3 – (–1) = –3 + 2 = –2
                  Thus, a = 3 and d = –2
           (ii) We have: –5, –1, 3, 7....
                  ⇒ T1 = –5                  ⇒ a = –5
                  T2 = –1                       ⇒ d = T2 – T1 = –1 – (–5) = –1 + 5 = 4
                  T3 = 3                          ⇒ d = –1 + 5 = 4
                  T4 = 7                           T4 – T3 = 7 – 3 = 4 ⇒ d = 4
                  Thus, a = –5 and d = 4
          
          (iv) We have : 0.6, 1.7, 2.8, 3.9, ....
                  ⇒ T1 = 0.6 ⇒ a = 0.6
                  T2 = 1.7 ⇒ d = T2 – T1 = 1.7 – 0.6 = 1.1
                  T3 = 2.8
                  T4 = 3.9 ⇒ d = T4 – T3 = 3.9 – 2.8 = 1.1
                  Thus, a = 0.6 and d = 1.1
Q.4.    Which of the following are APs? If they form an AP, find the common difference d and write three more terms.
          
           
           
           
           
           
           
           
           
                  ∴ The numbers form an A.P.
                  Now, T5 = T4 + 24 = 73 + 24 = 97
                  T6 = T5 + 24 = 97 + 24 = 121
                  T7 = T6 + 24 = 121 + 24 = 145
                  Thus, d = 24 and T5 = 97, T6 = 121, T7 = 145
EXERCISE: 5.2
Q.1.    Fill in the blanks in the following table, given that 'a' is the first term, 'd' the common difference and an the nth term of the A.P.:
                 
Sol.      (i) an = a + (n – 1) d
                  ⇒ a8 = 7 + (8 – 1) 3
                  = 7 + 7 × 3
                  = 7 + 21
                  ⇒ a8 = 28
           (ii) ⇒ a10 = – 18 + (10 – 1)d
                  ⇒ 0 = – 18 + 9d
                  
                  ∴ d – 2
          (iii) an = a + (n – 1) d
                  ⇒ – 5 = a + (18 – 1) × ( – 3)
                  ⇒ – 5 = a + 17 × ( – 3)
                  ⇒ – 5 = a – 51
                  ⇒ a = –5 + 51 = 46
                  Thus, a = 46
          (iv) an = a + (n – 1)d
                  ⇒ 3.6 = – 18.9 + (n – 1) × 2.5
                  ⇒ (n – 1) × 2.5 = 3.6 + 18.9
                  ⇒ (n – 1) × 2.5 = 22.5
                 
                  ⇒ n = 9 + 1 = 10 = 10
                  Thus, n = 10
          (v) an = a + (n – 1)d
                  ⇒ an = 3.5 + (105 – 1) × 0
                  ⇒ an = 3.5 + 104 × 0
                  ⇒ an = 3.5 + 0 = 3.5
                  Thus, an = 3.5
Q.2.    Choose the correct choice in the following and justify:
              (i) 30th term of the A.P.: 10, 7, 4, ...., is
              (A) 97                            (B) 77                            (C) –77                            (D) –87
              
Sol.      (i) Here, a = 10, n = 30
                  Tn = a + (n – 1)d and d = 7 – 10= – 3
                  ∴ T30 = 10 + (30 – 1) × ( –3)
                  ⇒ T30 = 10 + 29 × ( –3)
                  ⇒ T30 = 10 – 87 = –77
                  Thus, the correct choice is (C) – 77.
              
Q.3.    In the Miming A.Ps., find the missing terms in the boxes:
                  
Sol.      (i) Here, a = 2, T3 – 26
                  Let common difference = d
                  ∴ Tn = a + (n – 1) d
                  ⇒ T3 = 2 + (3 – 1) d
                  ⇒ 26 = 2 + 2d
                  ⇒ 2d = 26 – 2 = 24
                  
                  ∴ The missing term = a + d
                  = 2 + 12 = 14
           (ii) Let the first term = a and common difference = d
                  Here, T2 = 13 and T4 = 3
                  T2 = a + d = 13
                  T4 = a + 3d = 3
                  T4 – T2 = (a + 3d) – (a + d) = 3 – 13
                  ⇒ 2d = – 10
                  
                  Now, a + d = 13 ⇒ a + (–5) = 13
                  ⇒ a = 13 + 5 =18
                  Thus, missing terms are a and a + 2d or 18 and 18 + (–10) = 8
                  i.e., T1 = 18 and T3 = 8
          
          (iv) Here, a = – 4 and T6 = 6
                  ∵ Tn = a + (n – 1) d
                  ∴ T6 = – 4 + (6 – 1)d
                  ⇒ 6 = – 4 + 5d
                  ⇒ 5d = 6 + 4 = 10
                  ⇒ d = 10 5=2
                  ∴ T2 = a + d – 4 + 2 = – 2
                  T3 = a + 2d = –4 + 2(2) = 0
                  T4 = a + 3d = –4 + 3(2) = 2
                  T5 = a + 4d = – 4 + 4(2) = 4
                  ∴ The missing terms are
          (v) Here, T2 = 38 and T6 = – 22
                  ∴ T2 = a + d = 38
                  T6 = a + 5d = –22
                  ⇒ T6 – T2 = a + 5d – (a + d)= – 22 – 38
                  ⇒ 4d = – 60
                  
                  ∴ a + d = 38 ⇒ a + ( – 15) = 38
                  ⇒ a = 38 + 15 = 53
                  Now, T3 = a + 2d = 53 + 2 (–15) = 53 – 30 = 23
                  T4 = a + 3d = 53 + 3 (–15) = 53 – 45 = 8
                  T5 = a + 4d = 53 + 4(–15) = 53 – 60 = – 7
                  Thus, the missing terms are
Q.4.    Which term of the A.P.: 3, 8, 13, 18, ..., is 78?
Sol.      Let the nth term = 78
             Here, a = 3, ⇒ T1 = 3 and T2 = 8
             ∴ d = T2 – T1 = 8 – 3 = 5
             Now, Tn = a + (n – 1) d
             ⇒ 78 = 3 + (n – 1) × 5
             ⇒ 78 – 3 = (n – 1) × 5
             ⇒ 75 = (n – 1) × 5
             ⇒ (n – 1) = 75 5 =15
             ⇒ n = 15 + 1 = 16
             Thus, 78 is the 16th term of the given A.P.
Q.5.    Find the number of terms in each of the following A.Ps.:
             (i) 7, 13, 19, ..., 205
(ii)
Sol.      (i) Here, a = 7
                  d = 13 – 7 = 6
                  Let the number of terms be n
                  Tn = 205
                  Now, Tn = a + (n – 1) × d
                  ⇒ 7 + (n – 1) × 6 = 205
                  ⇒ (n – 1) × 6 = 205 – 7 = 198
                  
                  ∴ n = 33 + 1 = 34
                  Thus, the required number of terms is 34.
           (ii) Here, a = 18
                  
                  ⇒ n – 1 = (13) × (–2) = 26
                  ⇒ n = 26 + 1 = 27
                  Thus, the required number of terms is 27.
Q.6.    Check whether – 150 is a term of the A.P.: 11, 8, 5, 2 ...
Sol.      For the given A.P., we have
                       a = 11
                       d = 8 – 11 = – 3
                  Let – 150 is the nth term of the given A.P.
                  ∴ Tn = a + (n – 1)d
                  ⇒ –150 = 11 + (n – 1) × (–3)
                  ⇒ –150 – 11 = (n – 1) × (–3)
                  ⇒ –161 = (n – 1) × (–3)
                  
                  But n should be a positive integer.
                  Thus, – 150 is not a term of the given A.P.
Q.7.    Find the 31st term of an A.P. whose 11th term is 38 and the 16th tern is 73.
Sol.      Here, T31 = ?
             T11 = 38
             T16 = 73
             If the first term = a and the common difference = d.
             Then,
             a + (11 – 1) d = 38
             ⇒ a + 10 – d = 38
             and a + (16 – 1) d = 73
             ⇒ a + 15d = 73
             Subtracting (1) from (2), we get
             (a + 15d) – (a + 10 – d) = 73 – 38
             ⇒ 5d = 35
             
             From (1),
             a + 10(7) = 38
             ⇒ a + 70 = 38
             ⇒ a = 38 – 70 = – 32
             ∴ T31 = – 32 + (31 – 1) × 7
             ⇒ T31 = – 32 + 30 × 7
             ⇒ T31 = – 32 + 210
             ⇒ T31 = 174
             Thus, the 31st term is 178.
Q.8.    An A.P. consists of 50 terms of which 3rd term is 12 and the last term is 106. Find the 29th term.
Sol.      Here, n = 50
              T3 = 12
              Tn = 106 ⇒ T50 = 106
              If first term = a and the common difference = d
              ∴ T3 = a + 2d = 12                              ...(1)
              T50 = a + 49d = 106                              ...(2)
              ⇒ T50 – T3 = a + 49d – (a + 2d) = 106 – 12
              ⇒ 47d = 94
              
              From (1), we have
              a + 2d = 12 ⇒ a + 2(2) = 12
              ⇒ a = 12 – 4 = 8
              Now, T29 = a + (29 – 1) d
                  = 8 + (28) × 2
                  = 8 + 56 = 64
              Thus, the 29th term is 64.
Q.9.    If the 3rd and the 9th terms of an A.P. are 4 and – 8 respectively, which term of this A.P. is zero?
Sol.      Here, T3 = 4 and T9 = –8
             ∴ Using Tn = a + (n – 1) d
             ⇒ T3 = a + 2d = 4                              ...(1)
             T9 = n + 8d = – 8                              ...(2)
             Subtracting (1) from (2) we get
             (a + 8d) – (a + 2d) = – 8 – 4
             ⇒ 6d = – 12
              
             Now, from (1), we have:
             a + 2d = 4
             ⇒ a + 2(–2) = 4
             ⇒ a – 4 = 4
             ⇒ a = 4 + 4 = 8
             Let the nth term of the A.P. be 0.
             ∴ Tn = a + (n – 1)d = 0
             ⇒ 8 + (n – 1) × (–2) = 0
             ⇒ (n – 1) × – 2 = – 8
              
             ⇒ n = 4 + 1 = 5
             Thus, the 5th term of the A.P. is 0.
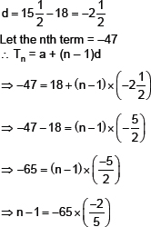
Q.10.    The 17th term of an A.P. exceeds its 10th term by 7. Find the common difference.
Sol.          Let 'a' be the first term and 'd' be the common difference of the given A.P.
                  Now, using                           Tn = a + (n – 1) d
                                                                    T17 = a + 16d
                                                                    T10 = a + 9d
                  According to the condition,
                                                                    Tn + 7 = T17
                  ⇒ (a + 9d) + 7 = a + 16d
                  ⇒ a + 9d – a – 16d = – 7
                  ⇒ – 7d = – 7 ⇒ d = 1
                  Thus, the common difference is 1.
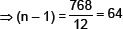
Q.11.    Which term of the A.P.: 3, 15, 27, 39, ... will be 132 more than its 54th term?
Sol.          Here, a = 3
                  d = 15 – 3 = 12
                  Using Tn = a + (n – 1) d, we get
                  T54 = a + 53d
                  = 3 + 53 × 12
                  = 3 + 636 = 639
                  Let an be 132 more than its 54th term.
                  ∴ an= T54 + 132
                  ⇒ an = 639 + 132 = 771
                  Now an = a + (n – 1)d = 771
                  ⇒ 3 + (n – 1) × 12 = 771
                  ⇒ (n – 1) × 12 = 771 – 3 = 768
                  
                  ⇒ n = 64 + 1 = 65
                  Thus, 132 more than 54th term is the 65th term.
Q.12.    Two A.Ps. have the same common difference. The difference between their 100th terms is 100, what is the difference between their 1000th terms?
Sol.          Let for the 1st A.P., the first term = a
                  ∴ T100 = a + 99d
                  And for the 2nd A.P., the first term = a'
                  ∴ T100 = a' + 99d
                  According to the condition, we have:
                  T100 – T'100 = 100
                  ⇒ a + 99d – (a' + 99d) = 100
                  ⇒ a – a' = 100
                  Let, T100 – T' = x
                  ∴ a + 999d – (a' + 999d) = x
                  ⇒ a – a' = x ⇒ x = 100
                  ∴ The difference between the 1000th terms is 100.
Q.13.    How many three–digit numbers are divisible by 7?
                  Ans. The first three digit number divisible by 7 is 105.
                  The last such three digit number is 994.
                  ∴ The A.P. is 105, 112, 119, ..., 994
                  Here, a = 105 and d = 7
                  Let n be the required number of terms.
                  ∴ Tn = a + (n – 1)d
                  ⇒ 994 = 105 + (n – 1) × 7
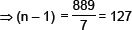
                  ⇒ (n – 1) × 7 = 994 – 105 = 889
                  
                  ⇒ n = 127 + 1 = 128
                  Thus, 128 numbers of 3–digit are divisible by 7.
Q.14.    How many multiples of 4 lie between 10 and 250?
Sol.       ∵ The first multiple of 4 beyond 10 is 12.
              The multiple of 4 just below 250 is 248.
              ∴ The A.P. is given by:
              12, 16, 20,.... 248
              Here, a = 12 and d = 4
              Let the number of terms = n
              ∴ Using Tn = a + (n – 1) d, we get
              ∴ Tn = 12 + (n – 1) × 4
              ⇒ 248 = 12 + (n – 1) × 4
              ⇒ (n – 1) × 4 = 248 – 12 = 236
              
              ⇒ n = 59 + 1 = 60
              Thus, the required number of terms = 60.
Q.15.    For what value of n, are the nth terms of two A.Ps.: 63, 65, 67, ... and 3, 10, 17, ... equal?
Sol.          For the 1st A.P.
                 ∵ a = 63 and d = 65 – 63 = 2
                 ∴ Tn = a + (n – 1)d
                 ⇒ Tn = 63 + (n – 1) × 2
                 For the 2nd A.P.
                 a = 3 and d = 10 – 3 = 7
                 ∴ Tn = a + (n – 1) d
                 ⇒ Tn = 3 + (n – 1) × 7
                 Now, according to the condition,
                 3 + (n – 1) × 7 = 63 + (n – 1) × 2
                 ⇒ (n – 1) × 7 – (n – 1) × 2 = 63 – 3
                 ⇒ 7n – 7 – 2n + 2 = 60
                 ⇒ 5n – 5 = 60
                 ⇒ 5n = 60 + 5 = 65
                 
                 Thus, the 13th terms of the two given A.Ps. are equal.
Q.16.    Determine the A.P. whose third term is 16 and the 7th term exceeds the 5th term by 12.
Sol.          Let the first term = a and the common difference = d.
                  ∴ Using Tn = a + (n – 1) d, we have:
                  T3 = a + 2d
                  ⇒ a + 2d = 16                              ...(1)
                  And T7 = a + 6d, T5 = a + 4d
                  According to the condition,
                  T7 – T5 = 12
                  ⇒ (a + 6d) – (a + 4d) = 12
                  ⇒ a + 6d – a – 4d = 12
                  ⇒ 2d = 12
                  
                  Now, from (1) and (2), we have:
                  a + 2 (6) = 16
                  ⇒ a + 12 = 16
                  ⇒ a = 16 – 12 = 4
                  ∴ The required A.P. is
                  4, [4 + 61], [4 + 2 (6)], [4 + 3 (6)], ....
                  or 4,10,16,22, ....
Q.17.    Find the 20th term from the last term of the A.P.: 3, 8, 13, ..., 253.
Sol.          We have, the last term I = 253
                  Here, d = 8 – 3 = 5
                  Since, the nth term before the last term is given by 1. – (n – 1) d,
                  ∴ We have
                  20th term from the end = l – (20 – 1) × 5
                  = 253 – 19 × 5
                  = 253 – 95 = 158
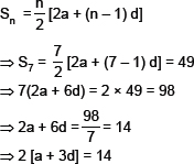
Q.18.    The sum of the 4th and 8th terms of an A.P. is 24 and the sum of the 6th and 10th terms is 44.
                Find the first three terms of the A.P.
Sol.         Let the first term = a
                 And the common difference = d
                 ∴ Using Tn = a + (n – 1) d,
                           T4 + T8 = 24
                 ⇒ (a + 3d) + (a + 7d) = 24
                 ⇒ 2a + 10d = 24
                 ⇒ a + 5d = 12
                 And T6 + T10 = 44
                 ⇒ (a + 5d) + (a + 9d) = 44
                 ⇒ 2a + 14d = 44
                 ⇒ a + 7d = 22
                 Now, subtracting (1) from (2), we get
                 (a + 7d) – (a + 5d) = 22 – 12
                 ⇒ 2d = 10
                 
                 ∴ From (1), a + 5 × 5 = 12
                 ⇒ a + 25 = 12
                 ⇒ a = 12 – 25 = – 13
                 Now, the first three terms of the A.P. are given by:
                 a, (a + d), (a + 2d)
                 or –13, (–13 + 5), [–13 + 2 (5)]
                 or –13, –8, –3
Q.19.    Subba Rao started work in 1995 at an annual salary of Rs. 5000 and received an increment of Rs. 200 each year. In which year did his income reach Rs. 7000?
Sol.          Here, a = Rs. 5000 and d = Rs. 200
                 Say, in the nth year he gets Rs. 7000.
                 ∴ Using Tn = a + (n – 1) d, we get
                 7000 = 5000 + (n – 1) × 200
                 ⇒ (n – 1) × 200 = 7000 – 5000 = 2000
                 
                 ⇒ n = 10 + 1 = 11
                 Thus, his income becomes Rs. 7000 in 11 years.
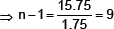
Q.20.    Ramkali saved Rs. 5 in the first week of a year and then increased weekly savings by Rs. 1.75.
                 If in the nth week, her weekly savings become Rs. 20.75, find n.
Sol.          Here, a = Rs. 5 and d = Rs. 1.75
                  ∵ In the nth week her savings become Rs. 20.75.
                  ∴ Tn = Rs. 20.75
                  ∴ Using Tn = a + (n – 1) d, we have
                  20.75 = 5 + (n – 1) × (1.75)
                  ⇒ (n – 1) × 1.75 = 20.75 – 5
                  ⇒ (n – 1) × 1.75 = 15.75
                 
                  ⇒ n – 9 + 1 = 10
                  Thus, the required number of years = 10.
NCERT TEXTBOOK QUESTIONS SOLVED
EXERCISE: 5.3
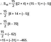
Q.1.    Find the sum of the following A.Ps.:
             (i) 2, 7, 12, ..., to 10 terms.
(ii) – 37, – 33, – 29, ..., to 12 terms.
             (iii) 0.6, 1.7, 2.8, ..., to 100 terms.
(iv)
Sol.      (i) Here, a = 2
                  d = 7 – 2 = 5
                  n = 10
           
           
                  = 50 [1.2 + 99 × 1.1]
                  = 50 [1.2 + 108.9]
                  = 50 [110.1]
                  = 5505
                  Thus, the required sum of first 100 terms is 5505.
           
Q.2.    Find the sums given below:
                    
           
          (iii) Here, a = –5
                  d = – 8 – (–5) = –3
                  l = – 230
                  Let n be the number of terms.
                  ∴ Tn = – 230
                  ⇒ –230 = –5 + (n – 1) × (–3)
                  ⇒ (n – 1) × (–3) = –230 + 5 = –225
                    
                  = 38 × (– 235)
                  = – 8930
                  ∴ The required sum = – 8930.
Q.3.    In an A.P.:
             (i) given a = 5, d = 3, an = 50, find n and Sn.
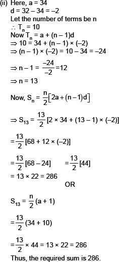
             (ii) given a = 7, a13 = 35, find d and S13.
             (iii) given a12 = 37, d = 3, find a and S12.
             (iv) given a3 = 15, S10 = 125, find d and a10.
             (v) given d = 5, S9 = 75, find a and a9.
             (vi) given a = 2, d = 8, Sn = 90, find n and an.
             (vii) given a = 8, an = 62, Sn = 210, find n and d.
             (viii) given an = 4, d = 2, Sn = – 14, find n and a.
             (ix) given a = 3, n = 8, S = 192, find d.
             (x) given l = 28, S = 144, and there are total 9 terms. Find a.
Sol.      (i) Here, a = 5, d = 3 and an = 50 = l
                  an = a + (n – 1)d
                  ∴ 50 = 5 + (n – 1) × 3
                  ⇒ 50 – 5 = (n – 1) × 3
                  ⇒ (n – 1) × 3 = 45
                  
                  = 8 (55) = 440
                  Thus, n = 16 and Sn = 440
           (ii) Here, a = 7 and a13 = 35 = l
                  ∴ an = a + (n – 1) d
                  ⇒ 35 = 7 + (13 – 1)d
                  ⇒ 35 – 7 = 12d
                  ⇒ 28 = 12d
                  
          (iii) Here, a12 = 37 = l and d = 3
                  Let the first term of the A.P. be 'a'.
                  Now a12 = a + (12 – 1) d
                  ⇒ 37 = a + 11d
                  ⇒ 37 = a + 11 × 3
                  ⇒ 37 = a + 33
                  ⇒ a = 37 – 33 = 4
                  
          (iv) a3 = 15 = l
                  S10 =125
                  Let first term of the A.P. be 'a' and the common difference = d
                  ∴ a3 = a + 2d
                  ⇒ a + 2d = 15                                    ...(1)
                  
                  ⇒ 125 = 5 [2a + 9d]
                  
                  ⇒ 2a + 9d = 25
                  Multiplying (1) by 2 and subtracting (2) from it, we get
                  2 [a + 2d =15] – [2a + 9d = 25]
                  ⇒ 2a + 4d – 2a – 9d = 30 – 25
                  ⇒ –5d = 5
                  
                  ∴ From (1), a + 2 (–1) = 15 ⇒ a = 15 + 2 ⇒ a = 15 + 2 ⇒ a = 17
                  Now, a10 = a + (10 – 1) d
                  = 17 + 9 × (– 1)
                  = 17 – 9 = 8
                  Thus, d = – 1 and a10 = 8
          (v) Here, d = 5, S9 = 75
                  Let the first term of the A.P. is 'a'.
          
          (vi) Here, a = 2, d = 8 and Sn = 90
                  
                  ⇒ 90 × 2 = 4n + n (n – 1) × 8
                  ⇒ 180 = 4n + 8n2 – 8n
                  ⇒ 180 = 8n2 – 4n
                  ⇒ 45 = 2n2 – n
                  ⇒ 2n2 – n – 45 = 0
                  ⇒ 2n2 – 10n + 9n – 45 = 0
                  ⇒ 2n (n – 5) + 9 (n – 5) = 0
                  ⇒ (2n + 9) (n – 5) = 0
                  
                  ∴ Either 2n + 9 = 0 ⇒ n =
                  or n – 5 = 0 ⇒ n = 5
                  But n = is not required.
                  ∴ n = 5
                  Now, an = a + (n – 1)d
                  ⇒ a5 = 2 + (5 – 1) × 8
                  = 2 + 32 = 34
                  Thus, n = 5 and a5 = 34.
          (vii) Here, a = 8, an = 62 = l and Sn = 210
                  Let the common difference = d
                  Now, Sn = 210
                  
          (viii) Here, an = 4, d = 2 and Sn = – 14
                  Let the first term be 'a'.
                  ∵ an = 4
                  ∴ a + (n –1)2 = 4
                  ⇒ a + 2n –2 = 4
                  ⇒ a = 4 – 2n + 2
                  ⇒ a = 6 – 2n
                  Also Sn = –14
                  
                  ⇒ (a + l) = –14
                  ⇒ (a + 4) = –14
                  ⇒ n (a + 4) = – 28
                  Substituting the value of a from (1) into (2),
                  n [6 – 2n + 4] = – 28
                  ⇒ n [10 – 2n] = –28
                  ⇒ 2n [5 – n] = –28
                  ⇒ n (5 – n) = –14
                  ⇒ 5n – n2 + 14 = 0
                  ⇒ n2 – 5n – 14 = 0
                  ⇒ n2 – 7n + 2n – 14 = 0
                  ⇒ n (n – 7) + 2 (n – 7) = 0
                  ⇒ (n – 7) (n + 2) = 0
                  ∴ Either n – 7 = 0 ⇒ n = 7
                  or n + 2 = 0 ⇒ n = –2
                  But n cannot be negative,
                  ∴                              n = 7
                  Now, from (1), we have
                  a = 6 – 2 × 7 ⇒ a = –8
                  Thus, a = – 8 and n = 7
           (ix) Here, a = 3, n = 8 and Sn = 192
                  Let the common difference = d.
                  
           (x) Here, I = 28 and S9 = 144
                  Let the first term be 'a'.
                  
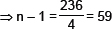
Q.4.    How many terms of the A.P.: 9, 17, 25, ... must be taken to give a sum of 636?
Sol:      Here, a = 9
                  
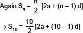
Q.5.    The first term of an A.P. is 5, the last term is 45 and the sum is 400. Find the number of terms and the common difference.
Sol.       Here, a = 5
               l = 45 = Tn
               Sn = 400
               ∵ Tn = a + (n –1) d
               ∴ 45 = 5+ (n – 1)d
               ⇒ (n – 1)d = 45 – 5
               ⇒ (n – 1)d = 40 ...(1)
                  
Q.6.    The first and the last terms of an A.P. are 17 and 350 respectively. If the common difference is 9, how many terms are there and what is their sum?
Sol.      We have,
              First term a = 17
              Last term l = 350 = Tn
              Common difference d = 9
              Let the number of terms be 'n'
              Tn = a + (n – 1) d
              ∴ 350 = 17 + (n – 1) × 9
              ⇒ (n – 1) × 9 = 350 – 17 = 333
              
Q.7.    Find the sum of first 22 terms of an A.P. in which d = 7 and 22nd term is 149.
Sol.      Here, n = 22, T22 = 149 = l
              d = 7
              Let the first term of the A.P. be 'a'.
              ∴ Tn = a + (n – 1) d
              ⇒ Tn = a + (22 – 1) × 7
              ⇒ a + 21 × 7 = 149
              ⇒ a + 147 = 149
              ⇒ a = 149 – 147 = 2
              
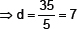
Q.8.    Find the sum of first 51 terms of an A.P. whose second and third terms are 14 and 18 respectively.
Sol.      Here, n = 51, T2 = 14 and T3 = 18
              Let the first term of the A.P. be 'a' and the common difference is d.
              ∴ We have:
              T2 = a + d ⇒ a + d = 14 ...(1)
              T3 = a + 2d ⇒ a + 2d = 18 ...(2)
              Subtracting (1) from 2, we get
              a + 2d – a – d = 18 – 14
                             ⇒ d = 14
              From (1), we get
              a + d = 14               ⇒ a + 4 = 14
                                                ⇒ a = 14 – 4 = 10
              
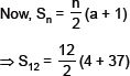
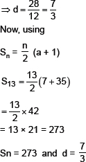
Q.9.    If the sum of first 7 terms of an A.P. is 49 and that of 17 terms is 289, find the sum of first n terms.
Sol.      Here, we have:
              S7 = 49 and S17 = 289
              Let the first term of the A.P, be 'a' and 'd be the common difference, then
              
              
Q.10.    Show that a1, a2, ..., an, ... form an A.P. where an is defcned as below:
                (i) an = 3 + 4n (ii) an = 9 – 5n
                Also find the sum of the first 15 terms in each case.
Sol.        (i) Here, an = 3 + 4n
                    Putting n = 1, 2, 3, 4, ... n, we get:
                                                            a1 = 3 + 4(1) = 7
                                                            a2 = 3 + 4(2) = 11
                                                            a3 = 3 + 4(3) – 15
                                                            a4 = 3 + 4(4) = 19
                                                            ....       ....       ....
                                                            an = 3 + 4n
                  ∴ The A.P. in which a = 7 and d = 11 – 7 = 4 1s:
                  7, 11, 15, 19, ...., (3 + 4n).
                  
           (ii) Here, an = 9 – 5n
                  Putting n = 1, 2, 3, 4,....., n, we get
                  a1 = 9 – 5 (1) = 4
                  a2 = 9 – 5 (2) = –1
                  a3 = 9 – 5 (3) = –6
                  a4 = 9 – 5 (4) = –11
                  ∴ The A.P. is:
                  
Q.11.    If the sum of the first n terms of an A.P. is 4n – n2, what is the first term (that is S1)? What is the sum of first two terms? What is the second term? Similarly, find the 3rd, the 10th and the nth terms.
Sol.         We have:
                 Sn = 4n – n2
                 ∴ S1 = 4 (1) – (1)2
                      = 4 – 1 = 3 ⇒ First term = 3
                 S2 = 4 (2) – (2)2
                      = 8 – 4 = 4 ⇒ Sum of first two terms = 4
                 ∴ Second term (S2 – S1) = 4 – 3 = 1
                 S3 = 4 (3) – (3)2
                      = 12 – 9 = 3 ⇒ Sum of first 3 terms = 3
                 ∴Third term (S3 – S2) = 3 – 4 = –1
                 S9 = 4 (9) – (9)2
                      = 36 – 81 = –45
                 S10 = 4 (10) – (10)2
                      = 40 – 100 = – 60
                 ∴ Tenth term = S10 – S9 = [– 60] – [– 45] = – 15
                 Now, Sn = 4 (n) – (n)2 = 4n – n2
                 Also Sn – 1 = 4 (n – 1) – (n – 1)2
                      = 4n – 4 – [n2 – 2n +1]
                      = 4n – 4 – n2 + 2n – 1
                      = 6n – n2 – 5
                 ∴ nth term = Sn – Sn – 1
                      = [4n – n2] – [6n – n2 – 5]
                      = 4n – n2 – 6n + n2 + 5 = 5 – 2n
                 Thus, S1 = 3 and a1 = 3
                 S2 = 4 and a2 = 1
                 S3 = 3 and a3= –1
                 a10 = – 15 and an = 5 – 2n
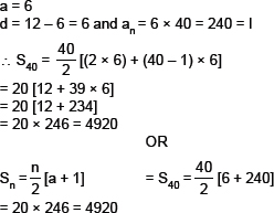
Q.12.    Find the sum of the first 40 positive integers divisible by 6.
Sol:         ∵ The first 40 positive integers divisible by 6 are:
                 6,12,18, ...., (6 × 40).
                 And, these numbers are in A.P. such that
                  
                  Thus, the sum of first 40 multiples of 6 is 4920.
Q.13.    Find the sum of the first 15 multiples of 8.
Sol.         The first 15 multiples of 8 are:
                 8, (8 × 2), (8 × 3), (8 × 4), ..., (8 × 15)
                 or 8, 16, 24, 32, ...., 120.
                 These numbers are in A.P., where
                 a = 8 and l = 120
                  
                  = 15 × 64 = 960
                  Thus, the sum of first positive 15 multiples of 8 is 960.
Q.14.    Find the sum of the odd numbers between 0 and 50.
Sol.         Odd numbers between 0 and 50 are:
                        1, 3, 5, 7, ...., 49
                 The numbers are in A.P. such that
                        a = 1 and I = 49
                  Here, d = 3 – 1 = 2
                        ∴ Tn = a + (n – 1)d
                        rArr; 49 = 1 + (n – 1)2
                        ⇒ 49 – 1 = (n – 1)2
                  
                  Thus, the sum of odd numbers between 0 and 50 is 625.
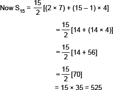
Q.15.    A contract on construction job specifies a penalty for delay of completion beyond a certain date as follows: Rs. 200 for the first day, Rs. 250 for the second day, Rs. 300 for the third day, etc., the penally for each succeeding day being Rs. 50 more than for the preceding day. How much money the contractor has to pay as penalty, if he has delayed the work by 30 days?
Sol.         Here, penalty for delay on
                       1st day = Rs. 200
                       2nd day = Rs. 250
                       3rd day = Rs. 300
                       ...............
                       ...............
                  Now, 200, 250, 300, .... are in A.P. such that
                       a = 200, d = 250 – 200 = 50
                  ∴ S30 is given by
                  
                       = 15 [400 + 29 × 50]
                       = 15 [400 + 1450]
                       = 15 × 1850 = 27,750
                  Thus, penalty for the delay for 30 days is Rs. 27,750.
Q.16.    A sum of Rs. 700 is to be used to give seven cash prizes to students of a school for their overall academic performace. If each prize is Rs. 20 less than its preceding prize, find the value of each of the prizes.
Sol.         Sum of all the prizes = Rs. 700
                Let the first prize = a
                ∴    2nd prize = (a – 20)
                       3rd prize = (a – 40)
                       4th prize = (a – 60)
                Thus, we have, first term = a
                Common difference = – 20
                Number of prizes, n = 7
                Sum of 7 terms Sn = 700
                  
                  Thus, the values of the seven prizes are:
                  Rs. 160, Rs. (160 – 20), Rs. (160 – 40), Rs. (160 – 60), Rs. (160 – 80), Rs. (160 – 100) and Rs. (160 – 120)
                  ⇒ Rs. 160, Rs. 140, Rs. 120, Rs. 100, Rs. 80, Rs. 60 and Rs 40..
Q.17.    In a sdiool, students thought of planting trees in and around the school to reduce air pollution. It was decided that the number of trees that each section of each class will plant, will be the same as the class, in which they are studying, e.g., a section of Class I will plant 1 tree, a section of Class II will plant 2 trees and so on till Class XII. There are three sections of each class. How many trees will be planted by the students?
Sol.         Number of classes = 12
                ∵ Each class has 3 sections.
                Number of plants planted by class I = 1 × 3 = 3
                Number of plants planted by class II = 2 × 3 = 6
                Number of plants planted by class III = 3 × 3 = 9
                Number of plants planted by class IV = 4 × 3 = 12
                ...................................................................................................
                Number of plants planted by class XII = 12 × 3 = 36
                The numbers 3, 6, 9, 12, ........., 36 are in A.P.
                Here, a = 3 and d = 6 – 3 = 3
                ∵ Number of classes = 12
                i.e., n = 12
                ∴ Sum of the n terms of the above A.P., is given by
                  
                  = 6 [6 + 11 × 3]
                  = 6 [6 + 33]
                  = 6 × 39 = 234
                  Thus, the total number of trees = 234.
Q.18.    A spiral is made up of successive semi–circles, with centres alternately at A and B, starting with centre at A, of radii 0.5 cm, 1.0 cm, 1.5 cm, 2.0 cm, .... as shown in figure. What is the total length of such a spiral made up of thirteen consecutive semi–circles?
                  [Hint: Length of successive semi–circles is 11, 12, 13, 14, ... with centres at A, B, A, B, ..., respectively.]
Sol.         ∵ Length of a semi–circle = semi–circumference
                  
                  
Q.19.    200 logs are stacked in the following manner: 20 logs in the bottom row, 19 in the next raw, 18 in the row next to it and so on (see figure). In how many rows are the 200 logs placed and how many logs are in the top row?
Sol.           We have:
                  The number of logs:
                  1st row = 20
                  2nd row = 19
                  3rd row = 18
                  obviously, the numbers
                  20, 19, 18, ...., are in A.P. such that
                         a = 20
                         d = 19 – 20 = –1
                  Let the numbers of rows be n.
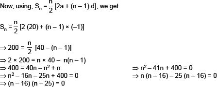
                  ∴ Sn = 200
                  
                  Either
                  ⇒ n – 16 = 0 ⇒ n = 16
                  or n – 25 = 0 ⇒ n = 25
                         Tn = 0 ⇒ a + (n – 1) d = 0 ⇒ 20 + (n – 1) × (–1) = 0
                  ⇒ n – 1 = 20 ⇒ n = 21
                  ∴ i.e., 21st term becomes 0
                  ∴ n = 25 is not required.
                  Thus, n = 16
                  ∴ Number of rows = 16
                  Now, T16 = a + (16 – 1) d
                         = 20 + 15 × (–1)
                         = 20 – 15 = 5
                  ∴ Number of logs in the 16th (top) row is 15.
Q.20.    In a potato race, a bucket is placed at the starting point, which is 5 m from the first potato, and the other potatoes are placed 3 m apart in a straight line. There are ten potatoes in the line (see figure).
                  A competitor starts from the bucket, picks up the nearest potato, runs back with it, drops it in the bucket, runs back to pick up the next potato, runs to the bucket to drop it in, and she continues in the same way until all the potatoes are in the bucket. What is the total distance the competitor has to run?
                  [Hint: To pick up the first potato and the second potato, the total distance (in metres) run by a competitor is 2 × 5 + 2 × (5 + 3)]
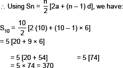
Sol.          Here, number of potatoes = 10
                  The up–down distance of the bucket:
                  From the 1st potato = [5 m] × 2 = 10 m
                  From the 2nd potato = [(5 + 3) m] × 2 = 16 m
                  From the 3rd potato [(5 + 3 + 3) m] × 2 = 22 m
                  From the 4th potato = [(5 + 3 + 3 + 3) m] × 2 = 28 m
                           .....................                  ......................
                  ∵ 10, 16, 22, 28, .... are in A.P. such that
                  a = 10 and d = 16 – 10 = 6
                  
                  Thus, the sum of above distances = 370 m.
                  The competitor has to run a total distance of 370 m.
EXERCISE: 5.4
Q.1.    Which term of the A.P.: 121, 117, 113, ..., is its first negative term?
             [Hint: Find n for an < 0]
Sol.      We have the A.P. having a = 121 and d = 117 – 121 = – 4
              ∴ an = a + (n – 1) d
              = 121 + (n – 1) × (–4)
              = 121 – 4n + 4
              = 125 – 4n
              For the first negative term, we have
              an < 0
              ⇒ (125 – 4n) < 0
              ⇒ 125 < 4n
              
              Thus, the first negative term is 32nd term.
Q.2.    The sum of the third and the seventh terms of an A.P. is 6 and their product is 8. Find the sum of first sixteen terms of the A.P..
Sol.       Here, T3 + T7 = 6 and T3 × T7 = 8
               Let the first term = a and the common difference = d
                  ∴ T3 = a + 2d and T7 = a + 6d
                  ∵ T3 + T7 = 6
                  (a + 2d) + (a + 6d) = 6
                  ⇒ 2a + 8d = 6
                  ⇒ a + 4d = 3                                                    ...(1)
                  Again T3 × T7 = 8
                  ⇒ (a + 2d) × (a + 6d) = 8
                  ⇒ (a + 4d – 2d) × (a + 4d + 2d) = 8
                  ⇒ [(a + 4d) – 2d] × [(a + 4d) + 2d] = 8
                  ⇒ [(3) – 2d] × [(3) + 2d] = 8                                                    [From (1)]
                  ⇒ 32 – (2d)2 = 8
                  ⇒ 9 – 4d2 = 8
                  ⇒ –4d2 = 8 – 9 = –1
              
              
Q.3.    A ladder has rungs 25 cm apart (see figure). The rungs decrease uniformly in length from 45 cm at the bottom to 25 cm at the top. If the top and the bottom rungs are m apart, what is the length of the wood nequfred for the rungs?
              
Sol.      Total distance between bottom to top rungs
                  
                  Distance between two consecutive rungs = 25 cm
                  
                  Length of the 1st rung (bottom rung) = 45 cm
                  Length of the 11th rung (top rung) = 25 cm
                  Let the length of each successive rung decrease by x cm
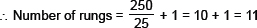
                  ∴ Total length of the rungs
                  = 45 cm + (45 – x) cm + (45 – 2x) cm + .... + 25 cm
                  Here, the numbers 45, (45 – x), (45 – 2x), ...., 25 are in an A.P. such that
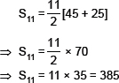
                        First term 'a' = 45
                        Last term 'l' = 25
                        Number of terms 'n' = 11
                  
                  
                  ∴ Total length of 11 rungs = 385 cm
                  i.e., Length of wood required for the rungs is 385 cm.
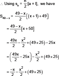
Q.4.    The houses of a row are numbered consecutively from 1 to 49. Show that there is a value of x such that the sum of the numbers of the houses preceding the house numbered xis equal to the sum of the numbers of the houses following it. Find this value of x.
             [Hint: Sx–1 = S49 – 5)
Sol:      We have, the following consecutive numbers on the houses of a row ;
                  1, 2, 3, 4, 5, ...., 49.
                  These numbers are in an A.P., such that
                        a = 1
                        d = 2 – 1 = 1
                        n = 49
                  Let one of the houses be numbered as x
                  ∴ Number of houses preceding it = x – 1
                  Number of houses following it = 49 – x
                  Now, the sum of the house–numbers preceding xis given by:
                  
                  The houses beyond x are numbered as
                  (x + 1), (x + 2), (x + 3), ...., 49
                  ∴ For these house numbers (which are in an A.P.),
                  First term (a) = x + 1
                  Last term (l) = 49
                  
                  According to the question,
                  [Sum of house numbers preceding x] = [Sum of house numbers following x]
                  i.e., Sx – 1 = S49 – x
                  
                  But x cannot be taken as –ve
                  ∴ x = 35
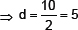
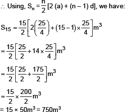
Q.5.    A small terrace at a football ground comprises of 15 steps each of which is 50 m long and built of solid concrete.
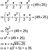
              Each step has a rise of m and a tread of m . (see Fig.). Calculate the total volume of concrete required to build the terrace.
              
Sol.      For 1st step:
               
               ∴ Volume of concrete required to build the 1st step
               = Volume of the cuboidal step
               = Length × Breadth × height
               
               For 2nd step:
               
               For 3rd step:
               
               ∴ Volume of concrete required to build the 3rd step
               
               Thus, the volumes (in m3) of concrete required to build the various steps are:
               
               obviously, these numbers form an A.P. such that
               
               Here, total number of steps n = 15
               Total volume of concrete required to build 15 steps is given by the sum of their individual volumes.
               
               Thus, the required volume of concrete is 750 m3.