MULTIPLE CHOICE QUESTIONS
REAL NUMBERS
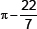
1. The decimal expansion of number

has:
(a) a terminating decimal
(b) non-terminating but repeating
(c) non-terminating non repeating
(d) terminating after two places of decimal
2. The values of x and y in the given figure are:

(a) x = 10; y = 14
(b) x = 21; y = 84
(c) x = 21; y = 25
(d) x = 10; y = 40
3. For any positive integer a and 3, there exist unique integers q and r such that a = 3q + r, where r must satisfy :
(a) 0 ≤ r < 3
(b) 1 < r < 3
(c) 0 < r < 3
(d) 0 < r ≤ 3
4. 
is:
(a) a rational number
(b) an irrational number
(c) a prime number
(d) an even number
5. L.C.M. of 23 × 32 and 22 × 33 is :
(a) 23
(b) 33
(c) 23 × 33
(d) 22 × 32
6. The HCF and LCM of two numbers are 33 and 264 respectively. When the first number is completely divided by 2 the quotient is 33. The other number is:
(a) 66
(b) 130
(c) 132
(d) 196
7. What will be the least possible number of the planks, if three pieces of timber 42 m, 49 m and 63 m long have to be divided into planks of the same length?
(a) 5
(b) 6
(c) 7
(d) none of these
8. What is the greatest possible speed at which a man can walk 52 km and 91 km in an exact number of minutes?
(a) 17 m/min
(b) 7 m/min
(c) 13 m/min
(d) 26 m/min
9. If A = 2n + 13, B = n + 7, where n is a natural number then HCF of A and B is:
10. Pairs of natural numbers whose least common multiple is 78 and the greatest common divisor is 13 are:
(a) 58 and 13 or 16 and 29
(b) 68 and 23 or 36 and 49
(c) 18 and 73 or 56 and 93
(d) 78 and 13 or 26 and 39
11. Two natural numbers whose sum is 85 and the least common multiple is 102 are:
(a) 30 and 55
(b) 17 and 68
(c) 35 and 55
(d) 51 and 34
12. 4 Bells toll together at 9.00 am. They toll after 7, 8, 11 and 12 seconds respectively. How many times will they toll together again in the next 3 hours?
13. A forester wants to plant 66 apple trees, 88 banana trees and 110 mango trees in equal rows (in terms of number of trees). Also he wants to make distinct rows of trees (i.e., only one type of trees in one row). The number of minimum rows required are
(a) 2
(b) 3
(c) 10
(d) 12
14. A number 10x + y is multiplied by another number 10a + b and the result comes as 100p + 10q +r, where r = 2y, q = 2(x + y) and p = 2x; x, y < 5, q ≠ 0. The value of 10a + b may be:
(a) 11
(b) 13
(c) 31
(d) 22
15. If the HCF of 65 and 117 is expressible in the form 65m – 117, then the value of m is
16. The largest number which divides 70 and 125, leaving remainders 5 and 8 respectively, is
(a) 13
(b) 65
(c) 875
(d) 1750
17. If two positive integers a and b are written as a = x3y2 and b = xy3; x, y are prime numbers, then HCF (a, b) is
(a) xy
(b) xy2
(c) x3y3
(d) x2y2
18. If two positive integers p and q can be expressed as p = ab2 and q = a3b; a, b being prime numbers, then LCM (p, q) is
(a) ab
(b) a2b2
(c) a3b2
(d) a3b3
19. The least number that is divisible by all the numbers from 1 to 10 (both inclusive) is
(a) 10
(b) 100
(c) 504
(d) 2520
20. The decimal expansion of the rational number

will terminate after
(a) one decimal place
(b) two decimal places
(c) three decimal places
(d) four decimal places
| 1. (a) | 2. (b) | 3. (a) | 4. (b) | 5. (c) |
| 6. (c) | 7. (d) | 8. (c) | 9. (b) | 10 (d) |
| 11. (d) | 12. (c) | 13. (d) | 14. (d) | 15. (b) |
| 16. (a) | 17. (b) | 18. (c) | 19. (d) | 20. (d) |