Class X Math
NCERT Solution for Triangles
NCERT TEXTBOOK QUESTIONS. SOLVED
1. Fill in the blanks using the correct b given in brackets:
(i) All circles are ……… (congruent, similar)
(ii) All squares are ……… (similar, congruent)
(iii) All ……… triangles are similar. (isosceles, equilateral)
(iv) Two polygons of the same number of sides are similar, if (a) their corresponding angles are ……… and (b) their corresponding sides are ……… (equal, proportional).
Sol. (i) All circles are similar.
(ii) All squares are similar.
(iii) All equilateral triangles are similar.
(iv) Two polygons of the same number of sides are similar if:
(a) Their corresponding angles are equal and
(b) Their corresponding sides are proportional.
2. Give two different examples of pair of.
(i) similar figures (ii) non-similar figures.
Sol. (i) (a) Any two circles are similar figures.
(b) Any two squares are similar figures.
(ii) (a) A circle and a triangle are non-similar figures.
(b) An isosceles triangle and a scalene triangle are non-similar figures.
3. State whether the following quadrilaterals are similar or not:
Sol. On observing the given figures, we find that:
Their corresponding sides are proportional but their corresponding angles are Dot equal.
∴ The given figures are not similar.
• Similar Triangles
Triangles are a special type of polygons. The study of their similarity is important.
Two triangles are said to be similar if:
(i) Their corresponding sides are proportional, and,
(ii) Their corresponding angles are equal.
THALES’ THEOREM [Basic Proportionality Theorem]
If a line is drawn parallel to one of the sides of a triangle to intersect the other two sides in distinct points ten the other two sides are divided in the same ratio. (CBSE 2010)
Given:
A ΔABC in which DE || BC and DE intersects AC and AB at h and D respectively.
To Prove:
[ART]
Construction:
Join BE and ‘ CD.’
Draw EF ⊥ AB and DC ⊥ AC
Proof:
EF ⊥ AB
EF is height of the ΔADE, corresponding to AD.
Since, ΔDBE and ΔECD being on the same base DE and between the same parallel DE and BC,
we have
ar(ΔDBE) = ar(ΔECD) ...(3)
From (1), (2) & (3), we have:
Since, AD and DB are parts of AB and whereas AE and EC are parts of AC,
∴ D and E divide the sides AB and AC in the same ratio.
1. In figure (i) and (ii), DE || BC. Find EC in (i) and AD in (ii).
Sol. (i) Since DE || BC
∴ Using the Basic proportionality Theorem,
2. E and F are points on the sides PQ and PR respectively of a A PQR. For each of the following cases, state whether EF || QR:
(i) PE = 3.9 cm,EQ = 3 cm, PF = 3.6 cm and FR = 2.4 cm
(ii) PE = 4 cm, QE = 4.5 cm, PF = 8 cm and RF = 9 cm
(iii) PQ = 1.28 cm, JR = 2.56 cm, PE = 0.18 cm and PF = 0.36 cm
Sol. (i) We have: PE = 3.9 cm, EQ = 3 cm
PF = 3.6 cm and FR = 2.4 cm
3. In figure, if LM || CB LN || CD, prove that

Sol. In ΔABC,
∵LM || CB [Given]
∴Using the Basic Proportionality Theorem, we have:
4. In the figure, DE || AC and DF || AE. Prove that
5. In the figure, DE || OQ and DF || OR. Show that EP || QR
Sol. In ΔPQO
DE || OQ [Given]
∴ Using the Basic Proportionality Theorem, we have:
∴ E and F are two distinct points on PQ and PR respetively and

E and F are dividing the two sides PQ and PR in the same ratio in ΔPQR.
∴ EF || QR
6. In the figure, A, B and C are points on OP, OQ and OR respectively such that AB || PQ and AC || PR. Show that BC || QR.
Sol. In ΔPQR,
O is a point and 0Q,- OR and joined. We have A, B and C on OP, OQ. and OR respectively such that AB || PQ and AC || OR.
Now, in OPQ,
AB || PQ [Given]
7. Using Thales’ Theorem 6.1. prove that a line drawn through the mid-point of one side of a triangle parallel to another side bisects the third side. (Recall that yiu have proved it in Class IX).
Sol. We Have a ΔABC in which D is the mid point of AB and E is a point on AC such that
DE. || BC.
DE || BC [Given]
∴ Using the Basic Proportionality Theorem, we get
⇒ E is the mid point of AC: Hence lii is proved tht “a line through the Mid-point of one side of a triangle parallel to another side bisects the third side.”
8. Using Thales’ Theorem 6.2, prove that the line joining the mid-points of any two sides of a triangle is parallel to the third side. (Recall that you have done it in Class IX).
Sol. Given. A triangle ABE in which a line l intersects AB at D and AC at
E, such that:
To Prove: DE || BC
Proof: (Please refer to Converse of Basic Proportionality Theorem)
9. ABCD is a trapezium in which AB || DC and its diagonals irsect each other at the point O. Show

Sol. We have, a trapezium ABCD such that AB || DC. The diago as AC and BD intersect each other at O.
Let us draw OE parallel toTeither AB or DC.
In ΔADC,
∵OE || DC [By construction]
∴ Using the Basic -Proportionality theorem, we get
10. The diagonals of a quadrilateral ABCD intersect each other at the point 0 such that

Show that ABCD is a trapezium.
Sol. We have a trapezium ABCD in which diagonals AC end BD intersect Ich other at O such that
∴ Using the Basic Proportionality Theorem, we get
i.e., the points 0 and E on the sides AB and AC (of ΔADB) respectively in the same ratio.
∴ Using the converse of the Basic proportionality Theorem, we have
OE || DC and OE ||AB
⇒ AB || DC
⇒ ABCD is a trapezium.
1. State which pairs of triangles in the figures, are similar. Write the similarity criteria used by you for answering the question and also write the pairs of similaltfriangles in the symbolic form:
Sol. (i) In ΔABC and ΔPQR
We have:
∠A = ∠P = 60°
∠B = ∠Q = 80°
∠C = ∠R = 40°
∴ The corresponding angles are equal,
∴ Using the AAA similarity rule,
ΔABC ~ ΔPQR
(ii) In ΔABC and ΔQRP
2. In the figure, ΔODC ~ ΔOBA, ∠BOC = 125° and ∠CDO = 70°. Find ∠DOC, ∠DCO and ∠OAB.
Sol. We have:
∠BOC = 125° and ∠CDO = 70°
since, ∠DOC + ∠BOC = 180° [Linear Pair]
⇒ ∠DOC 180° – 125° = 55° ...(1)
In ΔDOC
Using the angle sum property, we get
∠DOC + ∠ODC + ∠DCO = 180°
⇒ 55° + 70° + ∠DCO = 180°
⇒∠DCO =180° – 55° – 70° = 55° ...(2)
Again,
ΔODC ~ ΔOBA [Given]
∴ Their corresponding angles are equal
And ∠OCD = ∠OAB = 55° ...(3)
Thus, from (1), (2) and (3)
∠DOC = 55°, ∠DCO = 55° and ∠OAB = 55°.
3. Diagonals AC and BD of a trapezium ABCD with AB || DC intersect each other at the point O. Using a similarity criterion for two triangles, show that

Sol. We have a trapezium ABCD in which AB || DC. The diagonals AC and BD intersect at O.
In ΔOAB and ΔOCD
AB || DC [Given]
and BD intersects them
∴∠OBA = ∠ODC ...(1) [Alternate angles]
similarly,
∠OAB = ∠OCD ...(2)
∴Using AA similarity rule,
ΔOAB ~ ΔOCD
4. In the figure,

and ∠7 = ∠2. Show that ΔPQS ~ ΔTQR.
Sol. In ΔPQR
∵∠1 = ∠2
[Given]
∴ PR = QP
...(1) [∵In a Δ, sides opposite to equal angles are equal]
5. S and T are points on sides PR and QR of ∠P = ∠RTS. Show that ΔRPQ ~ ΔRTS.
Sol. In ΔPQR
T is a point on QR and S is a point on PR such that
∠RTS = ∠P
Now in ΔRPQ and ΔRTS
∠RPQ = ∠RTS
[Given]
∠PRQ = ∠TRS
[Common]
∴ Using AA similarity, we have
ΔRPQ and ΔRTS
6. In the figure, if ΔABE ≌ACD, show that ΔADE ≌ ΔABC.
Sol. We have ΔABE ≌ ΔACD
∴Their corresponding parts are equal,
i.e., AB = AC
AE = AD
∠DAE = ∠BAC
[Common]
∴Using SAS similarity, we have
ΔADE ~ ΔABC
7. In the figure, altitudes AD and CE of A ABC intersect each other at the point P. Show that:
(i) ΔAEP ~ ΔCDP
(ii) ΔABD ~ ΔCBE
(iii) ΔAEP ~ ΔADB
(iv) ΔPDC ~ ΔBEC
Sol. We have a ΔABC in which altitude AD and CE intersect each other at P.
⇒∠D = ∠E = 90°
...(1)
(i) In ΔEAP and ΔCDP
∠AEP = ∠CDP
[From (1)]
∠EPA = ∠DPC
[Vertically opp. angles]
∴Using AA similarity, we get
ΔEAP and ΔCDP
(ii) In ΔABD and ΔCBE
∠ADB = ∠CEB
[From (1)]
Also ∠ABD = ∠CBE
[Common]
∴Using AA similarity, we have
ΔABD and ΔCBE
(iii) In ΔAEP and ΔADB
∠AEP = ∠ADB
[From (1)]
Also ∠EAP = ∠DAB
[Common]
∴Using AA similarity, we have
ΔAEP and ΔADB
(iv) In ΔPDC and ΔBEC
∠PDC = ∠BEC
[From (1)]
And ∠DCP = ∠ECB
[Common]
∴Using AA similarity, we get
ΔPDC and ΔBEC
8. E is a point on the side AD produced of a parallelogram.ABCD and BE intersects CD at F. Show that ΔABE ~ ΔCFB.
Sol. We,have a parallelogram ABCD in which AD is produced to E and BE is joined such that BE intersects CD at F.
Now, in ΔABE and ΔCFB
∠BAE = ∠FCB
[Opp. angles of a || gm are always equal]
∠AEB = ∠CBF
[∵Parallel sides are intersected by the transversal BE]
Now, using AA similarity, we have
ΔABE and ΔCFB
9. In the figure, ABC and AMP are two right triangles, right angle at B and M respectively. Prove that:
Sol. We have ΔABC, right angled at B and ΔAMP, right angled at M.
∴∠B = ∠M = 90°
...(1)
(i) In ΔABC and ΔAMP
∠ABC = ∠AMP
[From (1)]
And ∠BAC = ∠MAP
[Common]
∴ Using AA similarity, we have
ΔABC ~ ΔAMP
(ii) ΔABC ~ ΔAMP
[As proved above]
∴ Their corresponding sides are proportional.
10. CD and GH are respectively the bisectors of ∠ACB and ∠EGFsuch that D and H lie on sides AB and FE of ΔABG amd ΔEFG respectively. If ΔABC ~ ΔFEG, show that:
Sol. We have two similar ΔABC and ΔFEG such that CD and GH are the bisectors of ∠ACB and ∠FGE respectively.
(i) In ΔACD and ΔFGH
∠CAD = ∠GFH
...(1)[ΔABC ~ ΔFEG ∴∠A =∠F]
since ΔABC ~ ΔFEG
[Given]
∴∠C = ∠G
∴∠ACD ~ ∠FGH
...(2)
From (1) and (2),
ΔACD ~ ΔFGH
∴ Their corresponding sides are proportional,
(ii) In ΔDCB and ΔHGE
∠DBC = ∠HEG
...(1)[ΔABC ~ ΔFEG ∴∠B = E]
Again, ΔABC ~ ΔFEG ∴∠ACB ~ ∠FGE
∴∠DBC = ∠HEG
...(2)
From (1) and (2), we get
ΔDCB ~ ΔHGE
[AA similarity]
(iii) In ΔDCA and ΔHGF
∠DAC = ∠HFG
...(1) [ΔABC ~ ΔFEG ∴∠CAB = ∠GFE ⇒ ∠CAD = ∠GFF ∴∠DAC = ∠HFG]
Also ΔABC ~ ΔFEG ∴ΔACB ~ ΔFGE
11. In the figure, E is a point on side CB produced of an isosceletriangle ABC with AB = AC. If AD ⊥ BC an EF ⊥ AC, prove that ΔABD ~ ΔECF,
Sol. We have an isosceles ΔABC in which AB = AC.
In ΔABD and ΔECF
AB = AC
[Given]
⇒Angles opposite to them are equal
∴∠ACB = ∠ABC
⇒∠ECF = ∠ABD
...(1)
Again AD ⊥ BC and EF ⊥ AC
⇒∠ADB = ∠EFC = 90°
...(2)
From (1) and (2), we have
ΔABD ~ ΔECF
[AA criteria of similarity]
12. Sides AB and BC’a d median AD of.hqriangle ABC are respectively proportional to sides PQ and QR and median PM of ΔPQR (see figure). Show that ΔABC ~ ΔPQR.
Sol. We have ΔABC and ΔPQR in which AD and PM are medial sfeorfesponding to sides BC and QR respectively such, that
∴Using SSS similarity, we have:
Their corresponding q es are equal
⇒∠ABD = ∠PQM
∴∠ABC = ∠PQR
Now, in ∠ABC and ∠PQR
13. D is a point on the side BC of a triangle ABC such that ∠ADC = ∠BAC. Show that CA2 = CB . CD.
Sol. We have a ΔABC and point D on its side BC such that
∠ADC = ∠BAC
In ΔABC and ΔADC
∠BAC = ∠ADC
[Given]
And ∠BCA = ∠DCA
[Common]
∴ Using AA similarity, we have
∠BAC ~ ∠ADC
∴Their corresponding sides are proportional
14. Sides AB and AC and median AD of a triangle ABC are respectively proportional to sides PQ and PR and median PM of another ,triangle PQR. Show that ΔABC ~ ΔPQR.
Sol. We have two As ABC and PQR such that AD and PM are medians corresponding to BC and QR respectively. Also
From (1), we have:
∴ΔABD ~ ΔPQM.
[using SSS similarity]
since, the corresponding angles of similar triangles are equal.
∴∠ABD = ∠PQM
⇒ ∠ABC = ∠PQR
...(2)
Now, in ΔABC ~ ΔPQR
∠ABC = ∠PQR
[From (2)]
15. A vertical pole of length 6 m casts a shadow 4 m long on the ground and at the same time a tower casts a shadow 28 m long. Find the height of the tower.
Sol. Let AB = 6 m be the pole and BC = 4 m be its shadow (in right ΔABC), whereas DE and EF denote the tower and its shadow respectively.
EF = Length of the shadow of the tower = 28 m
And DE = h = Height of the tower
In ΔABC and ΔDEF we have
∠B = ∠E = 90°
∠A = ∠D [Angular elevation of the sun at the same time.]
∴Using AA criteria of similarity, we have
ΔABC ~ ΔDEF
∴Their sides are proportional
Thus, the required height of the tower is 42 m.
16. If AD and PM are medians of triangles ABC and PQR, respectively where ΔABC ~ ΔPQR, prove that

Sol. We have ΔABC ~ ΔPQR such that AD and PM are the medians corresponding to the sides BC and QR respectively.
∵ΔABC ~ ΔPQR
And the corresponding sides of similar triangles are proportional.
∵Corresponding angles are also equal in two similar triangles
∴∠A = ∠P, ∠B = ∠Q and ∠C = ∠R ...(2)
Since AD and PM are medians
∴BC = 2 BD and QR = 2 QM
∴From (1),
1. Let ΔABC ~ ΔDEF and their areas be, respectively, 64 cm2 and 121 cm2. If EF = 15.4 cm, find BC.
Sol. We have
ar (ΔABC) = 64 cm2
ar (ΔDEF) = 121 cm2 and EF = 15.4 cm
ΔABC ~ ΔDEF [Given]
2. Diagonals of a trapezium ABCD With AB || DC intersect each other at the point O. If AB = 2 CD, find the ratieof the areas of triangles AOB and COD.
Sol. We have in trap. ABCD, AB || DC.
Diagonals AC and BD intersect at O.
In ΔAOB and ΔCOD
∠AOB = ∠COD, [Vertically opposite angles]
∠OAB = ∠OCD, [Alternate angles]
∴Using AA criterion of similarity, we have:
ΔAOB ~ ΔCOD
3. In the figure, ABC and DBC are two triangles on the same base BC. If AD intersects BC at O, show that

Sol. We have:
ΔABC and ΔDBC are on the same base BC. Also BC and
AD intersect at O.
Let us draw AE ⊥ BC and DF ⊥ BC.
In ΔAOE, ΔAEO = 90° and
In ΔDOF, ΔDFO = 90°
∴∠AEO = ∠DFO ...(1)
Also, ΔAOE = ΔDOF ...(2) [Vertically Opposite Angles]
∴ From (1) and (2),
ΔAOE ~ ΔDOF [By AA similarity]
∴ Their corresponding sides are proportional
4. If the areas of two similar triangles are equal, prove that they dre congruent.
Sol. We have ΔABC and ΔDEF, such that ΔABC ~ ΔDEF and ar(ΔABC) = ar (ΔDEF).
Since, the ratio of areas of two sinular triangles is equal to the square of, the ratio of their corresponding sides.
5. D, E and F are respectively the mid-points of sides AB, BC and CA of ΔABC. Find the ratio of the areas of ΔDEF and ΔABC.
Sol. We have a ΔABC in which D, E and F are mid points of AB, AC and BC respectively. D, E and F are joined to form ΔDEF.
Now, D is mid-point of AB
∴ Using the converse of the Basic Proportionality Theorem, we have
DE || BC
⇒∠ADE = ∠ABC ...(3) [Corresponding angles]
Also ∠AED = ∠ACE ...(4) [Corresponding angles]
Now from (3) and (4), we have
ΔABC ~ ∠DEF [Using AA similarity]
6. Prove that the ratio of the areas of two similar triangle is equal to the square of the ratio of their corresponding medians.
Sol. We have two triangles ABC and DEF such that
ΔABC ~ ΔDEF
AM and DN are medians corresponding to BC and EF respectively.
ΔABC ~ ΔDEF
∴ The ratio of their areas is equal to the square of the ratio of their corresponding sides.
]
7. Prove that the area of an equilateral triangle described on one side of a square is equal to half the area o the equilateral triangle described on one of its diagonals.
Sol. We have a square ABCD, whose diagonal AC. Equilateral ΔBQC is described on the side BC and another equilateral ΔAPC is described on the diagonal AC.
All equilateral triangles are similar.
∴ΔAPC ~ ΔBQC
∴The ratio of they areas is equal to the square of the ratio of their corresponding sides.
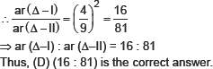
8. ABC and BDE are two equilateral triangles such that D is the mid-point of BC. Ratio of the areas of triangles ABC and BDE is
(A) 2 : 1
(B) 1 : 2
(C) 4 : 1
(D) 1 : 4
Sol. We have an equilateral ΔABC and D is the mirpoint of BC. DE is drawn such that BDE is also an equilateral triangle.
Since, all equilateral triangles-are sirhilar,
∴ΔABC ~ ΔBDE
⇒The ratio of their areas is, equal to the square of the ratio of their corresponding sides.
From (1) and (2), we have:
9. Sides of two similar triangles are in the ratio 4: 9. Areas of these triangles are in the ratio
(A) 2 :13
(B) 4 : 9
(C) 81 : 16
(D) 16 : 81
Sol. We have two similar triangles such that the ratio of their corresponding sides is 4 : 9
∴ The ratio of areas of two similar triangles is equal to the square of the ratio of their corresponding sides.
1. Sides of triangles are given below. Determine which of them are right triangle. In case of a right triangle, write the length of its hypotenuse.
(i) 7 cm, 24 cm, 25 cm
(ii) 3 cm, 8 cm; 6 cm
(iii) 50 cm, 80 cm, 100 cm
(iv) 13 cm, 12 cm, 5 cm
Sol. (i) The sides are:
Here, (7 cm)2 = 49 cm2
(24 cm)2 = 576 cm2
(25 cm)2 = 625 cm2
(49 + 576) cm2 = 625 cm2
The given Δ is a right triangle. Hypotenuse = 25 cm.
(ii) The sides, are:
Here, (3 cm)2 = 9 cm2
(8 cm)2 = 64 cm2
(6 cm)2 = 36 cm2
(9 + 36) ≠ 64 cm
It is not a right triangle.
(iii) The sides are:
50 cm, 80 cm, 100 cm
Here, (50 cm)2 = 2500 cm2
(80 cm)2 = 6400 cm2
(100 cm)2 = 10000 cm2
(2500 + 6400) cm2 ≠ 10000 cm2
∴ It is not a right triangle.
(iv) The sides are:
13 cm, 12 cm, 5cm
Here, (13 cm)2 = 169 cm2
(12 cm)2 = 144 cm2
(5 cm)2 = 25 cm2
(144 + 25) cm2 = 169 cm2
∴ The given triangle is a right triangle.
2. PQR is a triangle, right angled at P and M is a point on QR such that PM ⊥ QR. Show that PM2 = QM MR.
Sol. In ΔQMP and ΔQPR,
∠QMP = ∠QPR [Each = 90°]
∠Q = LQ [Common]
⇒ΔQMP ~ ∠QPR ...(1) [AA similarity]
Again in ΔPMR and ΔQPR,
∠PMR = ∠QPR [Each = 90°]
∠R = ∠R [Common]
⇒ΔRMP ~ ∠QPR ...(2) [AA similarity]
3. In the figure, ABD is a triangle, right angled at A and AC ⊥ BD. Show that
(i) AB2 = BC . BD
(ii) AC2 = BC. DC
(iii) AD2 = BD CD
Sol. (i) In ΔBAC and ΔBDA
∠ACB = ∠BAD [Each = 90°]
∠B = ∠B [Common]
∠BAC ~ ∠BDA [AA similarity]
⇒AB2 = BC . BD
(ii) In ΔACB and ΔDCA
∠ACB = ∠DCA [Each = 90°]
∠C = ∠C [Common]
⇒ΔACB ~ ΔDCA [AA similarity]
∴ Their corresponding sides are proportional
4. ABC is an isosceles triangle, right angled at C. Prove that AB2 = 2AC2.
Sol. We have right ΔABC such that∠C = 90° and AC =.BC.
∴By Pythagoras Theorem, we ave
AB2 = AC2 + BC2
= AC2 + AC2 [AB = AC (given)]
= 2 AC2
Thus, AB2 = 2AC2
5. ABC is a right angled triangle with AC = BC. If AB2 = 2AC, prove that ABC is a right triangle.
Sol. We have a ΔABC such that AB = AC.
Also, AB2, 2 AC2
∴ AB2 = AC2 + AC2
But AC = BC
But AB2 = AC2 + BC2
∴ Using the converse Pythagoras Theorem,
6. ABC is an equilateral triangle of side 2a. Find each of its altitudes.
Sol. We have an equilateral ΔABC in which AB = AC = CA = 2a.
Let us draw CD ⊥ AB i.e., CD is an altitude corresponding to AB.
Now, in ΔACD and ΔBCD,
AC = BC [Each = 2a]
CD = CD [Common]
∠ADC = ∠BDC [Each = 90°]
ΔACD ≌ ΔBCD [By AA congruency]
∴ Their corresponding parts are equal.
⇒ AD = BD
i.e., D is the mid point of AB
Now in right ΔADC, we have
AC2 = AD2 + CD2
⇒CD2 = AC2 – AD2
= (2a)2 – (a)2
= 4a2 – a2 = 3a2
Similarly, each of the other altitudes are

[ Each side of an equilateral Δ is equal]
7. Prove that the sum of the squares of the side of a rhombus is equal to the sum of the squares of its diagonals.
Sol. Let us have a rhombus ABCD.
Diagonal of a rhombus bisect each otherat right angles.
∴ OA = OC and OB and OD
Also, ∠ADB = ∠BOC [Each = 90°]
And ∠COD = ∠DOA [Each = 90°]
In right, ΔAOB,
We have
AB2 = OA2 + OB2 ...(1) [Using Pythagoras theorem]
Similarly,
BC2 = OB2 + OC2 ...(2)
CD2 = OC2 + OD2 ...(3)
and DA2 = OD2 + OA2 ...(4)
Adding (1), (2), (3) and (4),
AB2 + BC2 + CD2 + DA2
= [OA2 + OB2] + [OB2 + OC2]+ [OC2 + OD2] + [OD2 + OA2]
= 2OA2 + 2OB2 + 2OC2 + 2OD2
= 2 [OA2 + OB2 + OC2 + OD2]
= 2[OA2 + OB2 + OA2 + OB2]
[OA = QC and OB = OD]
= 2 [2 OA2 + 2 OB2]
Thus, sum of the squares of the sides of a rhombus is equal to theuq of thg,squares of its diagonals.
8. In the figure, O is a point in the interior of a triangle ABC, OD ⊥ BC, OE ⊥ AC and OF ⊥ AB. Show that
(i) OA2 + OB2 + OC2 – OD2 – OE2 – OF2 = AF2 + BD2 + CE2,
(ii) AF2 + BD2 + CE2 = AE2 + CD2 + BF2.
Sol. We have a pointlin the interior of a ΔABCsulhat QD ⊥ BC, OE ⊥ AC and On ⊥ AB.
(i) Let us join OA, OB and OC.
In right ΔOAF, we have
OA2 = OF2+ AF2 [Using Pythagoras Theorem]
Similarly, from right triangles ODB and OEC, we have
OB2 = BD2 + OD2, and
OC2 = CE2 + OE2
Adding,
OA2 + OB2 + OC2 = (AF2 + OF2) + (BD2 + OD2) + (CE2 + OE2)
⇒ OA2 + OB2 + OC2 = AF2 + BD2 + CE2 + (OF2 + OD2 + OE2)
⇒OA2 + OB2 + OC2 (OD2 + OE2 + OF2) = AF2 + BD2 + CE2
⇒ OA2 + OB2 + OC2 – OD2 – OE2 – OF2 = AF2 +BD2 + CE2
(ii) In right triangles OBD and OCD:
OB2 = OD2 + BD2 [Using Pythagoras Theorem]
and OC2 =OD2 + CD2
⇒ OB2 – OC2 = OD2 + BD2 – OD2 – CD2
⇒ OB2 – OC2 = BD2 – CD2
Similarly, we have
OC2 – OA2 = CE2 – AE2 ...(2)
and OA2 – OB2 = AF+ – BF2 ...(3)
Adding (1), (2) and (3) we get:
(OB2 – OC2) + (OC2 – OA2) + (OA2 – OB2) = (BD2 – CD2) + (CE2 – AE2) + (AF2 – BF2)
⇒ 0 = BD + CE2 + AF2 – (CD2 + AE2 – BF2)
⇒ BD2 + CE2 + AF2 = CD2 + AE2 + BF2
or AF2 + BD2 + CE2 = AE2 + BF2 + CD2
9. A ladder 10 m long reaches a window 8 m above rah el ouundd.. Find the distance of the foot of the ladder from base of the wall.
Sol. Let PQ be the ladder = PQ = 10 m
PR, the wall ⇒PR = 8 m
RQ is the base = RQ = ?
Now, in the right ΔPQR,
PQ2 = PR2 + QR2
⇒ 102 = 82 + QR2
[using Pythagoras theorem]
⇒ QR2 = 102 – 82
= (10 +8) (10 – 8)
= 18 × 2 = 36
Thus, the distance of the foot of the ladder from’ the base to the all is 6 m.
10. A guy wire attached to a vertical pole of height 18 m is 24 m long and has a stake attached to the other end. How far from the base of the should the stake be driven so that the wire will be taut?
Sol. Let AB is the wireand BC is the vertical pole. The point A is the stake.
∴ AB = 24 m, BC = 18 m
Now, in the right ΔAAC, using Pythagoilas Theorem, we have:
AB2 = AC2 + BC2
242 = AC2 + 182
AC2 = 242 – 182
= (24 – 18) (24 + 18)
= 6 × 42 = 252
= 7 × 36
Thus, the stake is required to be taken at

from the base of the pole to make the wire taut.
11. An aeroplane leaves an airport and flies due pgrth a speed of 1000 km per hour. At thejsame time, another aeroplane leaves the same airport a djliesti due west at a sped of 1200 km per hour. flow far apart will be the two planes after

hours?
Sol. Let the point A represent the airport.
Let the plane-I fly towards North
∴ Distance of the plane-l from the airport after

hours
= speed × time
Let the plane-II flies towards West,
∴ Distance of the plane-lI from the airport after

hours
= 1800 km
Now, in right ΔABC, using Pythagoras theorem, we have:
BC2 = AB2 + AC2
⇒BC2 = (1500)2 + (1800)2
= 2250000 + 3240000
= 5490000
Thus, after

hours the two planes are

apart from each other.
12. Two poles.o heighfs 6 m and 11 m stand on a plane ground. If the distance between the feet of the poles is 12 m, find the distancebetwe ten tops.
Sol. Let the two poles AB and CD are such that the distance between their feet AC = 12 m.
∴ Height of poleI AB = 11
Height of pole-II, CD = 6 m
∴ Extra height of pole-I = BE = 11m – 6m = 15m
Let us join the tops of the poles D and B.
Now, in rt. ΔBED, using the Pythagoras Theorem, we have:
DB2 = DE2 + EB2
⇒ DB2 = 122 + 52
= 144 + 25 = 169
Thus, the required distance between the tops =13 m.
13. Dad E are points on the sides CA and CB respectively of a triangle ABC, right angled at C. Prove that AE2 + BD2 = AB2 + DE2.
Sol. We have a right ΔABC such that ∠C = 90°. Also D and E are points on CA and CB respcetively. Let us join AE and BD.
In right ΔACB,
Using Pythagoras Theorem, we have
AB2 = AC2 + BC2 ...(1)
Using Pythagoras Theorem,
DE2 = CD2 + CE2 ...(2)
Adding (1) and (2), we get
AB2 + DE2 = [AC2 + BC2] + [CD2 + CE2]
= AC2 + BC2 + CD2 + CE2
= [AC2 + CE2] + [BC2 + CD2]
From the figure, we can have
In right ΔACE,
[AC2 + CE2] = AE2 and
In right ΔBCD,
[BC2 + CD2] = BD2
AB2 + DE2 = AE2 + BD2
or AE2 + BD2 = AB2 + DE2
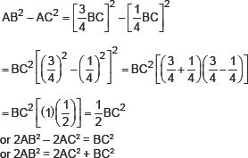
14. The perpendicular from A on side BC of a ΔABC intersects BC at D such that DB = 3 CD (see figure). Prove that 2AB = 2AC2 + BC2.
Sol. We have, a ΔABC such that AD ⊥ BC. The position of D is such that, BD = 3 CD.
In right ΔABC, we have [using Pythagoras Theorem] ...(1)
AB2 = AD2 + BD2
Similarly from right ΔACD, we have:
AC2 = AD2 + CD2 ...(2)
Subtracting (2) from (1), we get
AB2 – AC2 = DB2 – CD2 ...(3)
Now BC = DB = CD
= 3CD + CD = 4 CD [BD = 3 CD]
Now, substituting the values of CD and BD in (3), we get
15. In an equilateral triangle ABC, D is a point on side BC such that

Prope that 9 AD
2 = 7 AB
2.
Sol. We have an equalateral A ABC; in which D is a point on BC such that

Let us draw

In right ΔAPB, we have
AD2 = AP2 + BP2 ...(1) [using Pythagoras Theorem]
In right ΔAPD, we have
AD2 = AP2 + DP2 ...(1) [using Pythagoras Theorem]
AP2 = AD2 – DP2
∴ From (1), we have
AB2 = (AD2 – DP2) + BP2
16. In an equilateral triangle, prove that three times the square of one side is equal to four times the square of one of its altitudes.
Sol. We hae an equilateral ΔABC, in which AD ⊥ BC.
Since, an altitude in an equilateral Δ, that bisects the corresponding side.
∴D is the mid point of BC.
⇒ 4 AB2 = 4 AD2 + BC2
⇒ 4 AB2 = 4 AD2 + AB2
⇒ 4 AD2 = 4 AB2 – AB2
⇒ 4 AD2 = 3 AB2
⇒ 3 AB2 = 4 AD2
17. Tick the correct answer and justify: In ΔABC,, AB =

cm, AC = 12 cm that BC = 6 cm. The angle B is:
(A) 120°
(B) 60°
(C) 90°
(D) 45°
Sol. We have AB =

cm, AC = 12 cm and BC = 6 cm
∴AB
2 = (

)
2 = 36 × 3 = 108
AC2 = 122 = 144
BC2 = 62 = 36
Since 144 = 108 + 36
i.e., AC2 = AB2 = BC2
∴ The given sides form a triangle ΔABC right angled at B.
⇒ B = 90°
∴ The correct answer is (C) 90°.
Q1. It: the figure, PS is the bisector of ∠QPR of δ PQR. Prove that

Sol. We have ΔPQR in which PS is the bisector of ∠QPR
∠QPS = ∠RPS
Let us draw RT || PS to meet QP produced at T, such that
∠1 = ∠RPS [Alternate angles]
Also ∠3 = ∠QPS [Corresponding angles]
But ∠RPS = ∠QPS [Given]
∠1 = ∠3
⇒ PT = PR
[Equal sides of a triangle opposite to equal angles]
Now, in ΔQRT,
∠PR || RT [By construction]
Using the Basic Proportionality Theorem, we have:
Q2. In the figure, Δ is a point on hypotenuse AC of ΔABC, such that
BD ⊥ AC, DM ⊥ BC and DN ⊥ AB. Prove that.
(i) DM2 = DN.MC (ii) DN2 = DM AN
Sol. We have AC as the hypotenuse of ΔABC.
Also BD ⊥ AC, DM ⊥ BC and DN ⊥ AB
∠ BMDN is a rectangle.
∴BM = ND [Opp. sides of a rectangle]
(i) In ΔBMD and DMC,
∠DMB = 90° = ∠DMC ...(1)
∵3D ⊥ AC [Given]
∠1 + ∠2 = 90°
In ΔBDM,
∠3 + ∠2 = 90°
⇒∠1 = ∠3 ...(2)
From (1) and (2)
∴ΔBMD ~ ΔDMC [By AA similarity]
∴ Their corresponding sides are proportional.
[∵ DN and BM are opposite sides of a rectangle, ∴ DN= BM ]
⇒ DN×MC = DM×DM
⇒ DN×MC = DM2
or DM2 = DN × MC
(ii) In ΔBND and ΔDNA, we have:
∠BND = ∠DNA [Each = 90°]
∠DBN = ∠ADN [As in part (i)]
∴ΔBND ~ ΔDNA [AA similarity]
∴ Their corresponding sides are proportional.
Q3. IN the figure, ABC is a triangle in which ∠ABC > 90° and AD ⊥ CB produced. Prove that
AC2 = AB2 + BC2 + 2BC.BD.
Sol. ABC is a right triangle ∠ABC > 90° and AD ⊥ CB
In ΔADB,
∠D = 90°
∴ Using pythagoras Theorem, we have:
AB2 = AD2 + DB2 ...(1)
Again in ΔADC,
∠D = 90°
∴ Using Pythagoras theorem,
AC2 = AD2 + DC2
=AD2 + [BD + BC]2
= AD2 + [BD2 + BC2 + 2BD BC]
⇒ AC2 = [AD2 + DB2] + BC2 + 2BC BD
⇒ AC2 = AB2 + BC2 + 2BC BD [From (1)]
Thus, we have:
AC2 = AB2 + BC2 + 2BC BD
Q4. In the figure, ABC is a triangle in which ∠ABC < 90° and AD ⊥ BC. Prove that
AC2 = AB2 + BC2 – 2BC.BD.
Sol. We have ΔABC in which ∠ABC < 90° and AD ⊥ BC.
In right ΔADB,
∠D = 90°
∴ Using Pythagoras theorem, we have:
AB2 = AD2 + BD2
Also in right ΔADC,
∠D = 90°
∴ Using Pythagoras Theorem, we have:
AC2 = AD2 + DC2
= AD2 + [BC . BD]2
= AD2 + [BC2 + BD2 – 2BC.BD]
= [AD2 + BD2] + BC2 – 2BC.BD
= [AB2] + BC2 – 2BC.BD, From (1)]
Thus, AC2 = AB2 + BC2 – 2 BC.BD
which is the required relation.
Q5. In the figure, AD is a median of a triangle ABC and AM ⊥ BC. Prove that.
Sol. We have ΔABC in which AD is median and AM ⊥ BC such that
∠ADC > 90° and ∠ADM > 90°
(i) IN ΔAMC,
∠M = 90°
AC2 = AM2 + MC2
= AM2 + MD2 + DC2 + 2MD.DC
= AD2 + DC2 + 2MD. DC [MD2 + AM2 = AD2]
(ii) In ΔAMB,
∠AMC = 90°
∴ Using Pythagoras theorem, we have:
AB2 = AM2 + BM2
= AM2 + (BD – DM)2
= AM2 + BD2 + DM2 + 2BD.DM
= AD2 + BDC2 – 2BD. DM [DM2 + AM2 = AD2]
(iii) Adding (1) and (2) we get,
Q6. Prove that the sum of the squares of the diagonals of parallelogram is equal to the sum of the squares of its sides.
Sol. We have a parallelogram ABCD.
AC and BD are the diagonals of ||gm ABCD.
Diagonals of a || gm bisect each other.
∴ O is the mid-point of AC and BD.
Now, in ΔABC,
BO is a median
Also, in ΔADC,
Do is a median,
Q7. In the figure, two chords AB and CD intersect each other at the point P. Prove that.
(i) ΔAPC ~ ΔDPB (ii) AP.PB = CP. DP
Sol. We have two chords, AB and CD of a circle. AB and CD intersect at P.
∴∠AOC = ∠DPB [Vertically opp. angles] ...(1)
Let us join AC and BD.
(i) In ΔAPC and ΔDPB,
∠CDP = ∠BDP [Angles in the same segment]...(2)
From (1) and (2) and using AA similarity we have
ΔAPC ~ ΔDPB
(ii) Since ΔAPC ! ΔDPB [As proved above]
∴ Their corresponding sides are proportional,
Q8. In the figure, two chords AB and CD of a circle intersect each other at the point P (when produced) outside the circle. Prove that.
(i) ΔPAC ~ ΔPDB (ii) PA.PB =PC.PD
Sol. We have two chords AB and CD, when produced meet outside the circle at P.
(i) Since, in cyclic quadrilateral, the exterior angle is equal to the interiror opposite angle,
∠PAC = ∠PDB ...(1)
and ∠PCA = ∠PBD ...(2)
∴ From (1) and (2) and using the AA similarity, we have
ΔPAC ~ ΔPDB
(ii) Since, ΔPAC ~ ΔPDB
∴ Their corresponding sides are proportional.
Q9. In the figure, D is a point on side BC of ΔABC such that

Prove that AD is the bisector of ∠BAC.
Sol. Let us produce BA to E such that
AE = AC
Join EC.
And BE is a transversal,
∠BAD = ∠AEC [Corresponding angles] ...(1)
Also ∠CAD = ∠ACE [Alternate angles] ...(2)
Since, AC = AE
∴ Their opposite sides are equal
⇒∠AEC = ∠ACE ...(3)
From (1) and (3), we have
∠BAD = ∠ACE ...(4)
From (2) and (4), we have
∠BAD = ∠CAD
⇒ AD is bisector of ∠BAC.
Q10. Nazima is fly fishing in a stream. The tip of her fishing rod is 1.8m above the surface of the water and the fly at the end of the string rests on the water 3.6 m away and 2.4m from a point directly under the tip of the rod. Assumring that her string (from the tip of hr rod to the fly) is taut, how much string does she have out (see figure)? is she pulls in the string at the rate of 5 cm per second, what will be the horizontal distance of the fly from her after 12 secdons?
Sol. Let us find the lenght of the string that she has out.
In right ΔABC,
AC2 = AB2 + CB2 [using Pythagoras Theorem.]
AC2 = (2.4)2 + (1.8)2
⇒ AC2 = 5.76 + 3.24 = 9.00
i.e. Length of string she has out = 3m
Since, the string is pulled out at the rate of 5 cm/ sec,
Length of the string pulled out in 12 seconds.
= 5 cm × 12 = 60 cm
∴ Remaining string let out
= (3 – 0.60) m
= 2.4 m
To find horizontal distance
In the right ΔPBC, let PB be the required horizonal distance of fly.
Since, PB2 = PC2 – BC2
PB2 = (2.4)2 – (1.8)2
= 5.76 – 3.24 = 2.52
Thus, the horizontal distance of the fly from Nazima after 12 seconds.
= (1.59 + 1.2) m (approximately)
= 2.76 m (approximately)