Light- Reflection and Refraction-Notes

Class X Science
Notes for Light – Reflection and Refraction
   Light is a form of energy that produces in us the sensation of sight.
   Reflection of light is the phenomenon of bouncing back of light in the same medium on striking the surface of any object.
   The two laws of reflection are:
         (i) the incident ray, the reflected ray and the normal (at the point of incidence), all lie in the same plane.
         (ii) the angle of reflection (r) is always equal to the angle of incidence (i)
                  ∠r = ∠i
   In a plane mirror, the image of a real object is always
         (i) virtual,
         (ii) erect
         (iii) of same size as the object,
         (iv) as far behind the mirror as the object is in front of the mirror.
         (v) laterally inverted.
   Absolute refractive index(n) of a medium is the ratio of speed of light in vacuum or air(c) to the speed of light in the medium(v) i.e.
                
   Refraction of light is the phenomenon of change in the path of light in going from one medium to another.
   In going from a rarer to a denser medium, the ray of light bends towards normal and in going from a denser to a rarer medium, the ray of light bends away from normal.
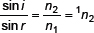
   Snell’s law of refraction,
                
   No refraction occurs, when
         (i) light is incident normally on a boundary,
         (ii) refractive indices of the two media in contact are equal.
   New Cartesian Sign Convention for spherical lenses:
         (i) All distances are measured from optical centre C of the lens.
         (ii) The distances measured in the direction of incidence of light are taken as positive and vice–versa.
         (iii) All heights above the principal axis of the lens are taken as positive and vice versa.
   The linear magnification produced by a lens is
         
   Power of the combination of lenses
         P = p1 + p2 + p3 ...
   Linear magnification produced by a spherical mirror is
         
   For a convex mirror, m is +ve and less than one, as the image formed is virtual, erect and shorter than the object.
   For a concave mirror, m is +ve when image formed is virtual and m is –ve, when image formed is real.
   According to New Cartesian Sign Convention, for spherical mirror.
         (i) All distances are measured from the pole of the spherical mirror.
         (ii) The distances measured in the direction of incidence of light are taken as positive and vice–versa.
         (iii) The heights above the principal axis of the mirror are taken as positive and vice–versa.
   In spherical mirror, focal length