Class VIII Math
NCERT Solution for Direct and Inverse Proportions
1. Followings are the car parking charges near a railway station opto
Check if the parking charges are in direct proportion to the parking time.
Sol. Since

∴ The parking charges are not in direct proportion to the parking time.
2. A mixture of paint is prepared by mixing 1 pan of red pigments with 8 parts of base. In the following table, find the parts of base that need to be added.
Sol. It is given that parts of red pigment, say x and parts of base, say y are in direct proportion. Therefore, the ratio of the correspondng values of x and y remain constant.
So, x and y are in direct variation with the constant of variation equal to

. This means that x is

of y and y is eight times of x. Thus, the required entries are
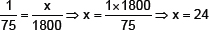
3. 3. In question 2 above, if 1 part of a red pigment requires 75 ml. of base, hew much red pigment should we mix with 1800 mL of be.
Sol. Let the parts of red pigmen. required to mix with 1800 ml. of base be x.
The given infonrutlon in the form of a table is as follows.
The parts of red pigment and the parts of base are in direct proportion. Therefore, we obtain
Thus, 24 parts of red pigments shook! be mixed with 1800 mL of base.
4. A machine in a soft drink factory fills 840 bottles in six hours. How many bottles will it fill in five hours?
Sol. Let the number of bottles filled by the machine in five hours be x.
The given information in the form of a table is as follows.
The number of bottles and the time taken to fill these bottles are in direct proportion.
Therefore, we obtain
Thus 700 bottles wtll be filled in 5 hours.
5. A photograph of a bacteria enlarged 50,000 times attains a length of 5 cm as shown in the diagram.
What is the actual length of the bacteria? If the photograph is enlarged 20,000 times only, wnat would be its enlarged length?
Suppose x be the enlarged length of the bacteria when its photograph is enlarged 20000 times.
Then the information can be put in the following tabular form:
Hence, its enlarged length is 2 cm.
6. In a model of a ship, the mast is 9 cm high, while the mast of the actual ship is 12 m high. If the length of the ship is 28 m, how long is the model ship?
Sol. Let the length of the mast of the model ship he x cm. The given information in the form of a table is as follows:
We know that the dimensions of the actual ship and the model ship are directly proportional to each other.
Thus, the length of the model ship is 21 cm.
7. Suppose 2 kg of sugar contains 9 � 106 crystals. How many y sugar crystals are there in (i) 5 kg of sugar (ii) 1.2 kg of sugar
Sol. Let x and y crystals are in 5kg of sugar and 1.2 kg of sugar. Then, the given information can be exhibited in the following tabular form:
8. Rashmi has a road map with a scale of 1cm representing 18kg. She drives on a road for 72. What would be her distance covered in the map.
Sol. Let the distance represented on the map be x cm. The given information in the form of a table is as follows.
The distances covered on road and represented on map are directly proportional to each other.
Therefore, we obtain
Hence, the distance represented on the map is 4 cm.
9. A 5m 60cm high vertical pole casts a shadow 3m 20= long. Find at the same time (i) the length of the shadow cast another pole 10m 50cm high (ii) the height of a pole which casts a shadow 5m long.
Sol. Let x m be the length of the pole whose shadow is of length 10m 50cm. Let y m be the length of the pole whose shadow is 5m long.
Then, the given information can be exhibited in the following tabular form:
10. A loaded truck travels 14km in 25 minutes. If the speed remains the same, how far can it travel in 5 hours?
Sol. Let the distance travelled by the truck in 5 hours
be x km.
We know,1 hour = 60 minutes
∴ 5 hours = (5 × 60) minutes = 300 minutes
The given information in the form of a table is as follows.
The distance travelled by the truck and the time taken the truck are directly proportional to each by other. Therefore,
Hence, the distance travelled by the truck is 168 km.
1. Which of the following are in inverse proportion?
(i) The number of workers on a job and the time to complete the job.
(ii) The time taken for a journey and the distance travelled in a uniform speed.
(iii) Area of cultivated land and the crop harvested.
(iv) The time taken for a fixed journey and the speed of the vehicle.
(v) The population of a country and the area of land per person.
Sol. (i) We know that more is the number of workers to do a job, less is the time taken to finish the So, it is a case of inverse proportion.
(iii) Clearly, more is the area cultivated land, more is the crop harvested.
So, it is a case of direct proportion.
(v) Clearly, more is the population, less is the area of land per person in a country.
So, it is a case of inverse proportion.
2. In a television game show, the prize money of Rs. 1,00,000 is to be divided equally amongst the winners. Complete the following table and find whether the prize money given to an individual winner. is directly or inversely proportional to the number of winners?
Number of
winners
1
2
4
5
8
10
20
Prize for each winner
(in Rs.)
1,00,000
50,000
��
��
��
��
��
Sol. Clearly the number of winners, less is the prize for each winner. So, it is a case of inverse proportion.
3. Rehman is making a wheel using spokes. He wants to fix equal spokes in such a way that the angles between any pair of consecutive spokes are equal. Help him by completing the following table.
(i) Are the number of spokes and the angles formed between the pairs of consecutive spokes in inverse proportion?
(ii) Calculate the angle between a pair of consecutive okes on a wheel with 15 spokes.
(iii) How many spokes would be needed, if the angle between a it of consecutive spokes is 40°?
Sol. A table of the given information is as follows.
From the given table, we obtain
4 × 90° = 360° = 6 × 60°
Thus, the number of spokes and the angle between a pair of consecutive spokes are inversely proportional to each other. Therefore,
Thus, the following table is obtained.
(i) Yes, the number of spokes and the angles formed between the pairs of consecutive spokes are in inverse proportion.
(ii) Let the angle between a pair of consecutive spokes on a wheel with 15 spokes be x. Therefore, 4 × 90° = 15 × x
Hence, the angle between a pair of consecutive spokes of a wheel, which has 15 spokes in it, is 24°.
(iii) Let the number of spokes in a wheel, which has 40° angles between a pair of consecutive spokes, be y, Therefore,
4 × 90° = y × 40°
Hence, the number of spokes in such a wheel is 9.
4. If a box of sweets is divided among 24 children, they will get 5 sweets each. I low many would each get, if the number of the children is reduced by 4?
Sol. Number of remaining children = 24 – 4 = 20
Let the number of sweets which each of the 20
students will get, be x.
The following table is obtained.
If the number of students is lesser, then each student will get more number of sweets.
Since this is a case of inverse proportion,
24 × 5 = 20 × x
Hence, each sent will get 6 sweets.
5. A farmer has enough food to feed 20 animals in his cattle for 6 days. How long would the food last if there were 10 more animals in his cattle?
Sol. Let the food will now last for x days. Then,
Clearly, more is the number of animals, less will be the number of days for food to last.
So, it is a case inverse proportion.
Hence, the food will now last for 4 days.
6. A contractor estimates that 3 persons could rewire Jasminder�s house in 4 days. If, he uses 4 persons instead of three, how long should they take to complete the job?
Sol. Let the number of days = x
According to question
Since the given problem is in inverse proportion.
4 × 3 = x × 4
∴ 4 persons will take 3 days to complete the job.
7. A batch of bottles were packed in 25 boxes with 12 bottles in each box. If the same .batch is packed using 20 bottles in each box, how many boxes would be filled?
Sol. Let x boxes be needed when 20 bottles are packed in each box. Then,
Clearly, more is the number of bottles, will be the number of boxes needed for packing.
So, it is a case of inverse proportion.
Hence, the boxes needed for packing is 15.
8. A facto ry requires 42 mechines to produce a given number of articles in 63 days. How many machines would be required to produce the same number of articles in 54 days?
Sol. Let the number of machines to produce the articles in 54 days = x
According to question
Since number of days are decreasing number of machines must be increasing.
∴ The problem is in inverse proportion
Thus, number of machines would be required to produce the same number of articles in 54 days
= 49.
9. A car takes 2 hours to reach a destination by tiavelling at the speed of 60 km/h. How long will it take when the car travels at the speed of 80 km/h?
Sol. Let the car takes x hours to reach a destination by travelling at the speed of 80 km/h. Then,
Clearly, more the speed, less will be the time taken. So, it is a case of inverse proportion.
10. Two persons could fit new windows in a house in 3 days.
(i) One of the persons fell Ill before the work started. How long would the job take now?
(ii) How many persons would be needed to fit the windows in one day?
Sol. (i) Let the number of days required 1 man to fit by all the windows be x. The f olknv(ng table is obtained.
Lesser the number of persons, more will be the number of days required to fit all the windows
Hence, this is a case of inverse proportion. Therefore,
2 × 3 = 1 × x
x = 6
Hence, the number of days taken by 1 man to fit all the windows is 6.
(ii) Let the number of persons required to fit all the windows in one day be y. The following table is formed.
Lesser the number of days, more will be the number of person required to fit all the windows.
Hence, this is a case of inverse proportion.
Therefore, 2 × 3 = y × 1
y = 6
Hence, 6 persons are required to fit all the windows in one day.
11. A school has 8 periods a day each of 45 minutes duration. How long would each period be? The school has 9 periods a day, assuming the number of school hours to be the same?
Sol. Let x minutes be the duration of period when the school has 9 periods a day. Then
Clearly, more the periods, less will be the duration of the period.
So, it is a case of inverse proportion.
∴ 8 × 45 = 9 × x
Hence, the duration of period is 40 minutes.