Linear Equations in One Variable-NCERT Solutions

Class VIII Math
NCERT SOLUTIONS For Liner Equation in one Variable
    Exercise 2.1
Solve the following equations:
Question 1:
x - 2 = 7
Solution:
Given, x – 2 = 7
By adding 2 to both sides, we get
            x – 2 + 2 = 7 + 2
            ⇒ x = 7 + 2
            ⇒ x = 9
Question 2:
y + 3 = 10
Solution:
Given,y + 3 = 10
By subtracting 3 from both sides, we get
            y + 3 – 3 = 10 – 3
            ⇒ y = 10 – 3
            ⇒ y = 7
Question 3:
6 = z + 2
Solution:
Given,6 = z + 2
By substracting 2 from both sides, we get
            6 – 2 = z + 2 – 2
            ⇒4 = z + 2 – 2
            ⇒ 4 = z
            ⇒ z = 4
Question 4:
Solution:
Given,
By subtracting from both sides, we get
          
          
Question 5:
6x = 12
Solution:
Given,6x = 12
After dividing both sides by 6, we get
          
Question 6:
Solution:
Given,
After multiplying both sides by 5, we get
          
Question 7:
Solution:
Given,
By multiplying both sides with 3, we get
          
After dividing both sides by 2, we get
          
Question 8:
Solution:
Given,
After multiplying both sides by 1.5, we get
          
Question 9:
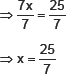
7x – 9 = 16
Solution:
Given,7x – 9 = 16
By adding 9 to both sides, we get
          
After dividing both sides by 7, we get
          
Question 10:
Solution:
Given,14y – 18 = 13
By adding 8 to both sides, we get
14y – 8 + 8 = 13 + 8
⇒ 14y = 21
After dividing both sides by 14, we get
          
Question 11:
17 + 6p = 9
Solution:
Given, 17 + 6p = 9
After subtracting 17 from both sides, we get
          17 + 6p – 17 = 9 – 17
          ⇒ 6p = –8
After dividing both sides by 6, we get
          
Question 12:
Solution:
Given,
By transposing 1 from LHS to RHS, we get
          
          
After multiplying both sides with 3, we get
          
    Exercise 2.2
Question 1:
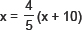
If you subtract from a number and multiply the result by , you get . What is the number?
Solution:
Let the number is m.
As per question we have
After dividing both sides by we get
          
By transposing to RHS, we get
          
Question 2:
The perimeter of a rectangular swimming pool is 154m. Its length is 2m more than twice its breadth.
What are the length and the breadth of the pool?
Solution:
Given, perimeter of the rectangular swimming pool = 154m
Length is 2 metre more than the breadth.
Let the breadth of the swimming pool = a metre
Therefore, as per question, length of the swimming pool = (2a + 2) metre
We know that,
perimeter of rectangle = 2 (length + breadth)
Therefore, 154m = 2[(2a + 2) + a]
          ⇒ 154m = 2(2a + 2 + a )
          ⇒ 154m = 2 (3a + 2)
          ⇒ 154m = 6a + 4
By subtracting 4 from both sides, we get
          154m – 4 = 6a + 4 – 4
          ⇒ 150m = 6a
After dividing both sides by 6, we get
          
Since, length = (2a + 2)m
Therefore, by substituting the value of breadth (a), we get
          (2 x 25 + 2)m= (50 + 2)m = 52m
Thus, length of the given pool = 52m
And breadth = 25m
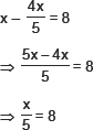
The base of an isosceles triangle is The perimeter of the triangle is What is the length of either of the remaining equal sides?
Solution:
          
Given, Base of the isosceles triangle
Isosceles triangles have two sides equal.
We know that perimeter of an isosceles triangle
          = Sum of two equal sides + third side
Let the length of equal sides of the given isosceles triangle = a
And length of unequal side = b
Therefore, perimeter = 2a + b
Therefore,
By subtracting from both sides, we get
          
After dividing both sides by 2, we get
          
Thus,
          lenght of either of remaining equal sides
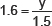
Question 4:
Sum of two numbers is 95. If one
exceeds the other by 15, find the numbers.
Solution:
Let one number is ‘a’.
Therefore,
          according to question second number = a + 15
Now, as given, sum of two numbers = 95
Therefore,
          a + a + 15 = 95
          ⇒ 2a + 15 = 95
By subtracting 15 from both sides, we get
          2a + 15 – 15 = 95 – 15
          ⇒ 2a = 95 – 15
          ⇒ 2a = 80
After dividing both sides by 2, we get
          
Now, since second number = a + 15
Therefore, by substituting the value of ‘a’, we get
The second number = 40 + 15 = 55
Thus, first number = 40 and second number = 55
Question 5:
Two numbers are in the ratio 5:3. If they differ by 18, what are the numbers?
Solution:
Given, two numbers are in the ratio of 5:3
Their difference = 18
Let first number = 5x and second number = 3x
As per question, 5x – 3x = 18
          ⇒ 2x = 18
After dividing both sides by 2, we get
          
Since, first number = 5x and second number = 3x
Thus, by substituting the value of x, in both the nubmers, we get
First number = 5x = 5 X 9 = 45
Ans second number = 3x = 3 X 9 = 27
Thus,
          first number = 45 and second number = 27
Question 6:
Three consecutive integers add up to 51. What are these integers?
Solution:
Let first integer = a
Therefore, second consecutive integer = a + 1
And, third consecutive integer = a + 2
Since,
    sum of the given three consecutive number = 51
Therefore,
          a + (a +1) + (a + 2) = 51
          ⇒ a + a + 1 + a + 2 = 51
          ⇒ a + a + a + 1 + 2 = 51
          ⇒ 3a + 1 + 2 = 51
          ⇒ 3a + 3 = 51
By subtracting 3 from both sides, we get
          3a + 3 – 3 = 51 – 3
          ⇒ 3a = 51 – 3
          ⇒ 3a = 48
After dividing both sides by 3, we get
          
Now, second consecutive number = a + 1
Therefore, by substituting the value of ‘a’, we get
Second consecutive number = 16 + 1 = 17
Similarly, after substituting the value of ‘a’ in third consecutive number, we get
Third consecutive number = a + 2 = 16 + 2 = 18
Thus, three required consecutive numbers are 16, 17 and 18
Question 7:
The sum of three consecutive multiples of 8 is 888. Find the multiples.
Solution:
Let first multiple of 8 = 8a
Therefore, second consecutive multiple of 8 = 8 ( a + 1)
And, third consecutive multiple of 8 = 8 ( a + 2 )
Since,
sum of three consecutive multiples of 8 = 888 as given in the question
Therefore, 8a + [8 (a + 1)] + [8 (a + 2)] = 888
          ⇒ 8a + (8a + 8) + (8a + 16) = 888
          ⇒ 8a + 8a + 8 + 8a + 16 = 888
          ⇒ 8a + 8a + 8a + 8 + 16 = 888
          ⇒ 24a + 24 = 888
By transposing 24 to RHS, we get
          ⇒ 24a = 888 – 24
          ⇒ 24a = 864
After dividing both sides by 24, we get
          
Now, since first multiple of 8 = 8a,
Second multiple of 8 = 8(a + 1)
And third multiple of 8 = 8 (a + 2)
Thus, by substituting the value of a we get
First multiple of 8 = 8a = 8 x 36 = 288
Second multiple of 8
          = 8 (a + 1) = 8 (36 + 1) = 8 x 37 = 296
Third multiple of 8
          = 8 (a + 2) = 8 (36 + 2) = 8 x 38 = 304
Thus, three required consecutive multiples of 8
          = 288, 296 and 304.
Question 8:
Three consecutive integers are such that when they are taken in increasing order and multiplied by 2, 3 and 4 respectively, they add up to 74. Find these numbers.
Solution:
Let first integer = a
Therefore, second consecutive integer = a + 1
And, third consecutive integer = a + 2
Since, according to question, by taking in increasing number, first integer is multiplied by 2, second consecutive integer is multiplied by 3 and third consecutive integer is multiplied by 4. And sum of all the three integers = 74
Therefore,
(First integer x 2) + (second consecutive integer
          x 3) + (third consecutive integer x 4) = 74
          ⇒ (a ×2) + [(a + 1) × 3] + [(a + 2) × 4] = 74
          ⇒ 2a + (3a + 3) = (4a + 8) = 74
          ⇒ 2a + 3a + 3 + 4a + 8 = 74
          ⇒ 2a + 3a + 4a + 3 + 8 = 74
          ⇒ 9a + 11 = 74
By subtracting 11 from both sides, we get
          9a + 11 – 11 = 74 – 11
          ⇒9a = 63
After dividing both sides by 9, we get
          
By substituting the value of ‘a’ the rest two consecutive integers can be obtained.
Second consecutive integer = a + 1 = 7 + 1 = 8
Third consecutive integer = a + 2 = 7 + 2 = 9
Thus, three required consecutive integers are 7, 8 and 9.
Question 9
The ages of Rahul and Haroon are in the ratio 5:7. Four years later the sum of their ages will be 56 years.
What are their present ages?
Solution:
Let the age of Rahul is 5x and the age of Haroon is 7x
After 4 years,
The age of Rahul = 5x + 4
The age of Haroon = 7x + 4
According to question, the sum of age of Rahul and Harron after 4 years = 56 years
Therefore, (5x + 4_ + (7x + 4) = 56
          ⇒ 5x + 4 + 7x + 4 = 56
          ⇒ 5x + 7x + 4 + 4 = 56
          ⇒ 12x + 8 = 56
After transposing 8 to RHS, we get
          12x = 56 – 8
          ⇒21x = 48
After dividing both sides by 12, we get
          
Since, present age of Rahul = 5x
Therefore, after substituting the value of x, we get
Present age of Rahul = 5x = 5 × 4 = 20 years
Similarly, present age of Haroon = 7x = 7 × 4 = 28 years
Therefore, present age of Rahul = 20 years
And present age of Haroon = 28 years
Question 10:
The number of boys and girls in a class are in the ratio 7:5. The number of boys is 8 more than the number of girls. What is the total class strength?
Solution:
Let the numbe of boys = 7x and number of girls = 5x
As per question,
the number of boys –8 = Number of girls
Therefore, 7x – 8 = 5x
After transposing 7x to RHS, we get
          –8 = 5x – 7x
          ⇒ –8 = –2x
          ⇒ 8 = 2x
After dividing both sides by 2, we get
          
The strength of class = Number of boys + Number of girls
          ⇒ Strenght of class = 7x + 5x = 12x
By substituting the value of x, we get
Strength of class = 12x = 12 × 4 = 48
Thus strenght of class = 48
Question 11:
Baichung’s father is 26 years younger than Baichung’s grandfather and 29 years older than Baichung.
The sum of the ages of all the three is 135 years. What is the age of each one of them?
Solution:
Let the age of Baichung’s father = m year
Since, Baichung’s father is 26 year younger than Baichung’s grand father
Therefore, Age of Baichung’s grandfather = Age of Baichung’s father + 26 = m + 26 year
Since, Baichung’s father is 29 year older than Baichung
Therefore, Age of Baichung = Age of Baichung’s father – 29 = m – 29 year
Now, we have
Age of Baichung = m – 29 year
Age of Baichung’s father = m year
Age of Bahichung’s grandfather = m + 26 year
According to question, the sum of ages of all the three = 135 year
Therefore,
Age of Baichung + Age of Baichung’s father + Age of Baichung’s grandfather = 135
          ⇒ (m – 29) + m + (m + 26) = 135 year
          ⇒ m – 29 + m + m + 26 = 135 year
          ⇒ m + m + m – 29 + 26 = 135 year
          ⇒ 3m – 3 = 135 year
After transposing – 3 to the RHS, we get
          3m = 135 year + 3
          ⇒ 3m = 138 year
After dividing both sides by 3, we get
          
This means age of Baichung’s father = 46 year
Now, by substituting the value of m, we can calculate the age of Baichung and the age of Baichung’s grandfather.
Therefore,
Age of Baichung = m – 29 = 46 – 29 = 17 year
Age of Baichung’s grandfather
          = m + 26 = 46 + 26 = 72 year
Thus,
Age of Baichung = 17 year
Age of Baichung’s father = 46 year
Age of Baichung’s grandfather = 72 year
Question 12:
Fifteen years from now Ravi’s age will be four times his present age. What is Ravi’s present age?
Solution:
Let the present age of Ravi = m year
Age of Ravi after 15 years = m + 15 year
According to question, age of Ravi will be four times of his present age.
i.e. Age of Ravi after 15 year = 4 x present age of Ravi
          ⇒ m + 15 = 4 x m
          ⇒ m + 15 = 4m
After transposing m to RHS, we get
          15 = 4m – 3
          ⇒ 15 = 3m
After dividing both sides by 3, we get
          
Question 8:
Thus, Ravi’s present age = 5 year
Question 13:
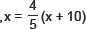
A rational number is such that when you multiply it by and add to the product, you get What is the number?
Solution:
Let the rational number
According to question,
By transposing to RHS, we get
          
After dividing both sides by , we get
          
Thus, the rational number is
Question 14:
Lakshmi is a cashier in a bank. She has currency notes of denominations Rs 100, Rs 50 and Rs 10, respectively. The ratio of the number of these notes is 2:3:5. The total cash with Lakshmi is Rs 4,00,000.
How many notes of each denomination does she have?
Solution: Given
Ratio of currency notes of denominations Rs 100, Rs 50 and Rs 10 = 2:3:5
Thus,
Let the number of notes of denomination of Rs 100 = 2x
Let the number of notes of denomination of Rs = 3x
Let the number of notes of denomination of Rs 10 = 5x
Therefore,
Value of notes of denomination of
          Rs 100 = 2x × 100 = 200x
Value of notes of denomination of
          Rs 50 = 3x × 50 = 150x
Value of notes of denomination of
          Rs 10 = 5x × 10 = 50x
Therefore, According to question
Total cash = Rs4,00,000 = 200x + 150x + 50x
          ⇒ Rs 4,00,000 = 400x
After dividing both sides by 400, we get
          
Now, since the number of notes of denomination of
          Rs 100 = 2x
Therefore, number of notes of denomination of
          Rs 100 = 2 ⇒ 1000 = 2000
Similarly,
Number of notes of denomination of
          Rs 50 = 3x = 3 × 1000 = 3000
Number of notes of denomination of
          Rs 10 = 5x = 5 × 1000 = 5000
Thus, number of notes of Rs 100 = 2000
Number of notes of Rs 50 = 3000
Number of notes of Rs 10 = 5000
Question 15:
I have a total of Rs 300 in coins of denomination Re 1, Rs 2 and Rs 5. The number of Rs 2 coins is 3 times the number of Rs 5 coins. The total number of coins is 160. How many coins of each denomination are with me?
Solution:
Given, total value of Rs = Rs 300
Total number of coins = 160
Coins of denomination = Re 1, Rs 2 and Rs 5
Number of Rs 2 coins = 3 x number Rs 5 coins
Let the number of coins of Rs 5 = m
Since, the number coins of Rs 2 is 3 times of the number of coins of Rs 5
Therefore, number of coins of Rs 2 = m x 3 = 3m
Now, Number of coins of Re 1 = Total number of coins – (Number of Rs 5 coins + Number of Rs 2 coins)
Therefore,
Number of coins of Re 1 = 160 – (m + 3m) = 160 – 4m
Total Rs = (Re 1 x Number of Re 1 coins) + (Rs 2 x Number of Rs 2 coins) + (Rs 5 x Number of Rs 5 coins)
          ⇒ 300 = [1 x (160 – 4m)] + (2 x 3m) + (5 x m)
          ⇒ 300 = (160 – 4m) + 6m + 5m
          ⇒ 300 = 160 – 4m + 6m + 5m
          ⇒ 300 = 160 – 4m + 11m
          ⇒ 300 = 160 + 7m
After transposing 160 to LHS, we get
          300 – 160 = 7m
          ⇒ 140 = 7m
After dividing both sides by 7, we get
          
Thus, number of coins of Rs 5 = 20
Now, since, number of coins of Re 1 = 160 – 4m
Thus, by substituting the value of m, we get
Number of coins of
          Rs 1 = 160 – (4 x 20) = 160 ndash; 80 = 80
Now, number coins of Rs 2 = 3m
Thus, by substituting the value of m, we get
Number of coins of Rs 2 = 3m = 3 x 20 = 60
Therefore,
Number of coins of Re 1 = 80
Number of coins of Rs 2 = 60
Number of coins of Rs 5 = 20
Question 16:
The organisers of an essay competition decide that a winner in the competition gets a prize of Rs 100 and a participant who does not win gets a prize of Rs 25. The total prize money distributed is Rs 3,000.
Find the number of winners, if the total number of participants is 63.
Solution:
Given, Total number participants = 63
Total prize money distributed = Rs 3000
Winner gets a prize of Rs 100
Who does not win gets a prize of Rs 25
Number of winners = ?
Let the number of winners = m
Since,
Number of winners + Number of losers = Total number of participants
Or, m + Number of losers = 63
By transposing ‘m’ to RHS, we get
Number of losers = 63 – m
Now,
Total Prize money distributed to winners
= Number of winners X prize money distributed to each winner = m X 100 = 100m
Total prize money distributed to losers
= Number of losers X prize money distributed to each loser
= (63 – m) X 25 = (63 x 25) – 25m = 1575 – 25m
Now,
Total Prize money of winners + Total Prize money of losers = Total prize money
By substituting the total prize money distributed to winners and total prize money distributed to losers, we get
          100m + 1575 – 25m = 3000
          ⇒ 100m – 25m + 1575 = 3000
By transposing 1575 to RHS, we get
          100m – 25m = 3000 – 1575
          ⇒75m = 1425
After dividing both sides by 75, we get
          
Thus, number of winners = 19
    Exercise 2.3
Solve the following equations and check your results
Question 1:
3x = 2x + 18
Solution:
We have 3x = 12x + 18
By transposing 2x to LHS, we get
          3x – 2x = 18
          ⇒ x = 18
Check
Given question is 3x = 2x + 18
By substituting the value of x in the LHS of the given question,
we get LHS = 3x = 3 × 18 = 54
By substituting the value of x in RHS we get
RHS = 2x + 18 = 2 × 18 + 18 = 36 + 18 = 54
Since, LHS = RHS, thus the value of x satisfies the given equation
Question 2:
5t – 3 = 3t – 5
Solution:
We have 5t – 3 = 3t – 5
By transposing 3t to LHS we get
          5t – 3 – 3t = –5
By transposing –3 to RHS, we get
          5t – 3t = –5 + 3
          ⇒ 2t = –2
After dividing both sides by 2, we get
          
Check
Given question is 5t – 3 = 3t – 5
By substituting the value of t in LHS, we get
LHS = 5t – 3 = 5 × (–1) – 3 = –5 –3 = –8
By substituting the valueo f t in RHS we get
RHS = 3t – 5 = 3 × (–1) – 5 = –3 –5 = –8
Since, LHS = RHS, thus the obtained value of ‘t’ satisfies the equation
Question 3:
5x + 9 = 5 + 3x
Solution:
Given,5x + 9 = 5 + 3x
By transposing 3x to LHS, we get
          5x + 9 – 3x = 5
          ⇒ 5x + 9 = 5 + 3x
By transposing 9 to RHS, we get
          5x + 9 = 5 + 3x
          ⇒ 2x = – 4
Aftre dividing both sides by 2, we get
          
Check
Given question is 5x + 9 = 5 + 3x
By substituting the value of x in LHS, we get
LHS = 5x + 9 = 5 × (–2) + 9 = –10 + 9 = –1
By substituting the value of x in RHS we get
RHS = 5 + 3x = 5 + 3 × (–2) = 5 – 6 = – 1
Since LHS = RHS, thus the obtained value of x satisfies the given equation
Question 4:
4z + 3 = 6 + 2z
Solution:
Given,4z + 3 = 6 + 2z
By transposing 2x to LHS, we get
          4z + 3 = 6 + 2z = 6
By transposing 3 to RHS, we get
          4z – 2z = 6 – 3
          ⇒ 2z = 6 – 3
          ⇒ 2z = 3
After dividing both sides by 2, we get
          
Check
Given question is 4z + 3 = 6 + 2z
By substituting the value of z in LHS, we get
By substituting the value of z in RHS we get
Since, LHS = RHS thus obtained value of z satisfies the equation
Question 5:
2x – 1 = 14 – x
Solution:
Given,2x – 1 = 14 – x
By transposing –x to LHS, we get
          2x – 1 + x = 14
By transposing –1 to RHS, we get
          2x + x = 14 + 1
          ⇒ 3x = 15
After dividing both sides by 3, we get
          
Check
Given question is 2x – 1 = 14 – x
By substituting the value of x in LHS, we get
LHS = 2x – 1 = 2 × 5 – 1 = 10 – 1 = 9
By substituting the value of x in RHS we get
RHS = 14 – x = 14 – 5 = 9
Thus, LHS = RHS proved
Solve the following equations and check your results
Question 6:
8x + 4 = 3(x – 1) + 7
Solution:
Given,8x + 4 = 3(x – 1) + 7
By removing bracket from RHS, we get
          8x + 4 = 3(x – 1) + 7
By transposing 3x to LHS, we get
          8x + 4 = 3(x – 1) + 7
          ⇒ 8x – 3x + 4 = 4
By transposing 4 to RHS, we get
          8x – 3x = 4 – 4
          ⇒ 5x = 0
After dividing both sides by 5, we get
          
Check
Given question is 8x + 4 = 3(x – 1) +7
By substituting the value of x in LHS, we get
LHS = 8x + 4 = 8 X 0 + 4 = 0 + 4 = 4
By substituting the value of x in RHS, we get
RHS = 3(x – 1) + 7 = 3(0 – 1) + 7 = –3 + 7 = 4
Thus, LHS = RHS proved
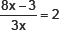
Question 7:
Solution:
Given,
          
By transposing to LHS, we get
          
After multipying both sides with 5, we get
          
Check
Given question is
By substituting the value of x in LHS, we get
LHS = x = 40
By substituting the value of x in RHS we get
RHS
Thus, LHS = RHS proved
Question 8:
Solution:
Given,
By transposing to LHS, we get
          
By transposing 1 to RHS, we get
          
After multiplying both sides with 5, we get
          
Check
Given question is
By substituting the value of x in LHS, we get
By substituting the value of x in RHS, we get
Thus, LHS = RHS
Question 9:
Solution:
Given,
By transposing –y to LHS, we get
          
After dividing both sides by 3, we get
          
Check
Given question is
By substituting the value of y in LHS, we get
By substituting the value of y in RHS, we get
Thus, LHS = RHS proved
Question 10:
Solution:
Given,
By transposing 5m to LHS, we get
          (Negative sign of both sides become positive)
After dividing both sides by 2, we get
          
Check
Given question is
By substituting the value of m in LHS, we get
By substituting the value of m in RHS, we get
Thus, LHS = RHS proved
    Exercise 2.4
Solution of Questions from 1 to 5
Question 1:
Amina thinks of a number and subtracts from it. She multiplies the result by 8. The result now obtained is 3 times the same number she thought of. What is the number?
Solution:
Let the number thought by Anamika = a
According to question,
            
After removing bracket, we get
            
After transposing 3a to LHS, we get
8a – 20 – 3a = 0 ⇒ 8a – 3a – 20 = 0
By transposing – 20 to RHS, we get
⇒ 8a – 3a = 20 ⇒ 5a = 20
After dividing both sides by 5, we get
            
Question 2:
A positive number is 5 times another number. If 21 is added to both the numbers, then one of the new numbers becomes twice the other new number. What are the numbers?
Solution:
Let the given positive number = a
Therefore,
            another number which is 5 times of it = 5a
Now, after adding 21 to both of the number,
First number = a + 21
Second number = 5a + 21
According to question, one new number becomes twice of the other new number
Therefore,
Second number = 2 x first number
i.e. 5a + 21 = 2 (a + 21)
            ⇒ 5a + 21 = 2a + 42
By transposing ‘2a’ to LHS, we get
            ⇒ 5a + 21 – 2a = 42
Now, after transposing 21 to RHS, we get
⇒ 5a – 2a = 42 – 21
            ⇒ 3a = 21
After dividing both sides by 3, we get
          
Therefore, another number 5a = 5 x 7 = 35
Thus, required numbers are 7 and 35
Question 3:
Sum of the digits of a two-digit number is 9. When we interchange the digits, it is found that the resulting new number is greater than the original number by 27. What is the two-digit number?
Solution:
Let the number at ones place of two digit number = a
According to question, the sum of digits of given two digit number = 9
i.e. Digit at tens place + digit at ones place = 9
Or, Digit at tens place + a = 9
By transposing ‘a’ to RHS, we get
Digit at tens place = 9 – a
Thus, the number = 10(9 – a) + a
After interchange of digit, the number = 10a + (9 – a)
Since, number obtained after interchange of digit is greater than the original number by 27
Therefore, New number – 27 = Original number
Here, we have original number = 10(9 – a) + a
And, new number = 10a + (9 – a)
          ⇒ 10a + (9 – a) – 27 = 10 (9 – a) + a
          ⇒ 10a + 9 – a – 27 = 90 – 10a + a
          ⇒ 10a – a + 9 – 27 = 90 – 9a
          ⇒ 9a – 18 = 90 – 9a
By transposing 18 to RHS, we get
          9a = 90 – 9a + 18
By transposing – 9a to LHS, we get
          9a + 9a = 90 + 18
          ⇒18 a = 108
After dividing both sides by 18, we get
          
Since, digit at tens place = 9 – a
Thus, by substituting the value of a, we get
The number at tens place = 9 – a = 9 – 6 = 3
Thus, number at tens place = 3
And number at ones place = a = 6
Thus, the number = 36
Question 4:
One of the two digits of a two digit number is three times the other digit. If you interchange the digits of this two-digit number and add the resulting number to the original number, you get 88. What is the original number?
Solution:
Let one of the digit , which is at ones place, of a two digit number = a
Therefore, other digit of the two digit number = 3a
Therefore, number = (10 x 3a) + a = 30a + a = 31a
After interchange, the digit = 10a + 3a = 13a
Now,
     since sum of the original and resulting number = 88
Therefore, 31a + 13a = 88
          ⇒ 44 a = 88
Now, after dividing both sides by 44, we get
          
By substituting the value of ’a’in original number we get
Since, original number = 31a = 31 x 2 = 62
Thus, the number = 62
Question 5:
Shobo’s mother’s present age is six times Shobo’s present age. Shobo’s age five years from now will be one third of his mother’s present age. What are their present ages?
Solution:
Let the present age of Shobo = a
Therefore, Shobo’s mother’s present age = 6a
After five years, the age of Shobo = a + 5
As per question,
By transposing ‘a’ to LHS, we get
          2a – a = 5 ⇒ a = 5
Thus, present age of Shobo = 5 year
Since, present age of Shobo’s mother = 6a
Thus, present age of Shobo’s mother = 6 × 5 = 30 year
Therefore,
Present age of Shobo = 5 year and present age of Shobo’s mother = 30 year
Question 6:
There is a narrow rectangular plot, reserved for a school, in Mahuli village. The length and breadth of the plot are in the ratio 11:4. At the rate Rs100 per metre it will cost the village panchayat Rs 75000 to fence the plot. What are the dimensions of the plot?
Solution:
Cost of fence per meter = Rs 100
Total cost of fence the plot = Rs 75000
Given, ratio of length and breadth of the rectangular plot = 11:4
Let the length of the plot = 11x
And the breadth of the plot = 4x
          ∵ Rs 100 is the cost to fence the plot of 1 meter
          ∴Rs 1 will be cost to fence the plot of meter
          ∴Rs 75000 will be the cost to fence the plot of
Since, fence is around the plot.
Thus, perimeter of plot = lenght of fence = 750m
We know that Perimeter = 2(lenght + breadth)
          ⇒ 750m = 2(11x + 4x) ⇒ 750m = 2(15x)
          ⇒ 750m = 30x
After dividing both sides by 30, we get
          
By substituting the value of x the lenght and breadth can be calculated
Therefore, lenght = 11x = 11 X 25 = 275m
And breadth = 4x = 4 X 25 = 100m
Thus, length = 275m and Breadth = 100m
Question 7:
Hasan buys two kinds of cloth materials for school uniforms, shirt material that costs him Rs 50 per metre and trouser material that costs him Rs 90 per metre. For every 3 meters of the shirt material he buys 2 metres of the trouser material. He sells the materials at 12% and 10% profit respectively. His total sale is Rs 36,600. How much trouser material did he buy?
Solution:
Given,
Rate of shirt material = Rs 50 per meter
Rate of trouser material = Rs 90 per meter
Profit on shirt material = 12%
Profit on trouser material = 10%
Total sale price = Rs 36600.00
Since profit on the cost price of shirting material = 12%
Therefore,
sale price of shirting material = cost price + 12% of cost price
          
Therefore, sale price of shirt material = Rs 56.00
Since, profit on the cost price of trouser material = 10%
Therefore, sale price of trouser material = cost price of trouser material + 10% of cost price
          
Therefore, sale price of trouser material=Rs 99.00
Now, since Hasan buys 3m of shirt material for every 2m of trouser material
Thus, let he buys 3x m of shirting material and 2x m of trouser material
Total sale price
= Total sale price of shirt matreial + Total sale price of trouser material
          ⇒ Rs 36600 = 3x × Rs 56 + 2x × Rs 99
          ⇒ Rs 36600 = Rs168x + Rs 198x
          ⇒ Rs 36600 = Rs 366x
After dividing both sides by 366 we get
          
Since, purchase of trouser material = 2x
Thus, after substituting the value of x, we get
Purchase of trouser material = 2 X 100 = 200m
Thus, Hasan buys 200m of trouser material.
Question 8:
Half of a herd of deer are grazing in the field and three fourths of the remaining are playing nearby. The rest 9 are drinking water from the pond. Find the number of deer in the herd.
Solution:
Let the total number of deer = x
Since, half of the herd are grazing in the field
Thus, number of deer grazing in the field
Since, th 4 of remaining of the half are playing nearby
Thus, number of deer playing nearby
Number of deer drinking water = 9
          (as given in question)
Now, Total number of deer
= No. of deer grazing + No. of deer playing
                                            + No. of deer playing
          
Now, after transposing to LHS, we get
          
Now, after multiplying both sides by 8, we get
          
Thus, total number of deer in the herd = 72
Question 9:
A grandfather is ten times older than his granddaughter. He is also 54 years older than her. Find their present ages.
Solution:
Let the age of granddaughter = x year
As given, the age of grandfather = 10 × age of his granddaughter
Therefore, age of grandfather = 10x
Now, again given, age of grandfather = Age of granddaughter + 54
Thus, age of grandfather = x + 54
Since, age of grandfather will equal in all given conditions
Therefore, 10x = x + 54
Now, by transposing x to LHS, we get
          10x – x = 54 ⇒ 9x = 54
Now, after dividing both sides by 9, we get
          
Thus, age of granddaughter = 6 year
And age of grandfather = 6 × 10 = 60 year
Question 10:
Aman’s age is three times his son’s age. Ten years ago he was five times his son’s age. Find their present ages.
Solution:
Let the age of Aman’s son = x year
Since, as given Aman’s age = 3 × age of his son
Therefore, age of Aman = 3x year
Ten years ago,
Present age of Aman – 10 year = (present age of his son – 10) × 5
          3x – 10 = (x – 10) × 5
          ⇒ 3x – 10 = 5x – 50
By transposing 5x to LHS and –10 to RHS, we get
          3x – 5x = – 50 + 10 ⇒ –2x = –40
After canceling negative sign both sies, we get
          ⇒ 2x = 40
Now, after dividing both sides by 2, we get
          
Thus, present age of Aman’s son=20 year
And present age of Aman=20 year X 3=60 year
    Exercise 2.5
Solution of NCERT Exercise from Question 1 to 5
Solve the following linear equations:
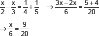
Question 1:
Solution:
Given,
After transposing to LHS and to RHS, we get
          
After multiplying both sides with 6, we get
          
Question 2:
Solution:
Given,
          
After multiplying both sides by 12, we get
          
Now after dividing both sides by 7, we get
          
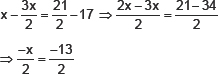
Question 3:
          
Solution:
After transposing 7 to RHS and to LHS, we get
          
After multiplying both sides with 6, we get
          
After dividing both side by 5, we get
          
Question 4:
          
Solution:
After multiplying both sides with 3, we get
          
After multiplying both sides with 5, we get
          
After removing of bracket from both sides we get
          5x – 25 = 3x – 9
After transposing 3x to LHS and –25 to RHS, we get
          5x – 3x = –9 + 25 ⇒ 2x = 16
After dividing both sides by 2, we get
          
Question 5:
          
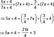
Solution:
Given,
After transposing –t to LHS, we get
          
After removing of brackers, we get
          
After multiplying both sides by 12, we get
          
After transposing –18 to RHS, we get
          
By dividing both sides by 13, we get
          
Question 6:
          
Solution:
Given,
After transposing to LHS, we get
          
Now, after multiplying both sides with 6, we get
          
After transposing –1 to RHS, we get
          5m = 6 + 1 = 7
After dividing both sides with 5, we get
          
Simplify and solve the following linear equations:
Question 7:
3(t – 3) = 5(2t + 1)
Solution:
Given,3(t – 3) = 5(2t + 1)
          ⇒ 3t – 9 = 10t + 5
After transposing, –9 to RHS and 10t to LHS, we get
          3t – 10t = 5 + 9 ⇒ –7t = 14
After dividing both sides by 7, we get
          
Question 8:
15(y – 4) – 2(y – 9) + 5(y + 6) = 0
Solution:
Given,15(y – 4) – 2(y – 9) + 5(y + 6) = 0
After removing brackets, we get
          15y – 60 – 2y + 18 + 5y + 30 = 0
After arranging the above equation, we get
          15y – 60 – 2y + 18 + 5y + 30 = 0
After arranging the above equation, we get
          15y – 2y + 5y – 60 + 18 + 30 = 0
          ⇒ 18y – 12 = 0
After transposing –12 to RHS, we get
          18y = 12
After dividing both sides by 18, we get
          
Question 9:
3(5z – 7) –2(9z – 11) = 4(8z – 13) – 17
Solution:
Given 3(5z – 7) –2(9z – 11) = 4(8z – 13) – 17
After removing brackets, we get
          15z – 21 – 18z + 22 = 32z – 52 – 17
          ⇒ 15z – 18z – 21 + 22 = 32z – 69
          ⇒ –3z + 1 = 32z – 69
After tranposing 1 to RHS and 32z to LHS, we get
          –3z – 32z = – 69 – 1
          ⇒ –35z = –70
After dividing both sides by 35, we get
          
Question 10:
0.25(4f – 3) = 0.05(10f – 9)
Solution:
Given, 0.25(4f – 3) = 0.05(10f – 9)
After removing brackets, we get
          f – 0.75 = 0.5f – 0.45
After transposing 0.5f to LHS and – 0.75 to RHS, we get
          f – 0.5f = –0.45 + 0.75
          0.5f = 0.3
After dividing both sides by 0.5 we get
    Exercise 2.6
Solve the following equations:
Question 1:
Solution:
Given,
After multiplying both sides with 3x, we get
          
After transposing 8x to RHS, we get
          –3 = 6x – 8x
          ⇒ – 3 = –2x
          ⇒ 3 = 2x
After dividing both sides by 2, we get
          
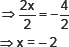
Question 2:
Solution:
Given,
By multiplying both sides with 7 – 6x, we get
          
After transposing –90x to LHS, we get
          9x + 90x = 105
          ⇒ 99x = 105
After dividing both side by 99, we get
          
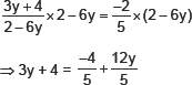
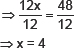
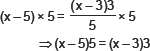
Question 3:
Solution:
Given,
After multiplying both sides by z + 15, we get
          
After transposing, to LHS, we get
          
After multiplying both sides by 9, we get
          
After dividing both sides by 5, we get
          
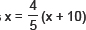
Question 4:
Solution:
Given,
After muliplying both sides with 2 – 6y, we get
          
After transposing 4 to RHS and to LHS, we get
          
After multiplying both sides with 5, we get
          
After dividing both sides by 3, we get
          
Question 5:
          
Solution:
Given,
After multiplying y + 2 we get
          
After transposing to LHS, and 4 RHS, we get
          
After multiplying both sides with 3, we get
          
After dividing both sides by 25, we get
          
Question 6:
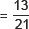
The ages of Hari and Harry are in the ratio 5:7. Four years from now the ratio of their ages will be 3:4.
Find their present ages.
Solution:
Let the present age of Hari = 5x
And the present age of Harry = 7x
After four years from now
Age of Hari will be = 5x + 4
and age of Harry will be = 7x + 4
As given the ratio of their age after 4 years = 3:4
Therefore,
Now after multiplying both sides by 7x + 4, we get
          
After transposing to LHS and 4 to RHS, we get
          
After multiplying both sides by 4, we get
          
Since, present age of Hari = 5x
Therefore, after substituting the value of x, we get
Present age of hari = 5x = 5 X 4 = 20 year
Since, present age of Harry = 7x
Thus, after substituting the value of x, we get
Present age of Harry = 7x = 7 X 4 = 28 year
Thus, present age of Hari = 20 year
And present age of Harry = 28 year
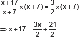
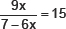
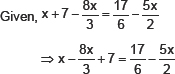
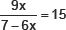
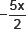
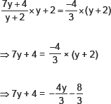
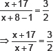
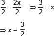
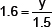
Question 7:
The denominator of a rational number is greater than its numerator by 8. If the numerator is increased by 17 and the denominator is decreased by 1, the number obtained is Find the rational number.
Solution:
Let the numerator of the given rational number = x
Since, denominator is greater than its numerator by 8
Therefore, denominator = x + 8
Now, as per question
          
After substituting the value of numerator and denominator, we get
          
Now, after multiplying both sides by (x + 7), we get
          
After transposing to LHS and 17 to RHS, we get
          
After multiplying both sides with 2, we get
          
Since denominator = x – 8
Thus, after substituting the value of x, we get
Denominator = x + 8 = 13 + 9 = 21
Therefore, rational number