Class IX Math
NCERT Solution for Circles
NCERT TEXTBOOK QUESTIONS SOLVED
EXERCISE 10.1 (Page 171)
Q1. Fill in the blanks:
(i) The centre of a circle lies in________of the circle.
(ii) A point, whose distance from the centre of a circle is greater than its radius lies in________of the circle.
(iii) The longest chord of a circle is a________of the circle.
(iv) An arc is a________when its ends are the ends of a diameter.
(v) Segment of a circle is the region between an arc and________ of the circle.
(vi) A circle divides the plane, on which it lies, in________parts.
Sol: (i) interior (ii) exterior (iii) diameter
(v) the chord (vi) three
Q2. Write True or False. Give reasons for your answers.
(i) Line segment joining the centre to any point on the circle is a radius of the circle.
(ii) A circle has only finite number of equal chords.
(iii) If a circle is divided into three equal arcs, each is a major arc.
(iv) A chord of a circle, which is twice as long as its radius, is a diameter of the circle.
(v) Sector is the region between the chord and its corresponding arc.
(vi) A circle is a plane figure.
Sol: (i) True [∵ All points on the circle are equidistant from the centre]
(ii) False [∵ A circle can have an infinite number of equal chords.]
(iii) False [∵ Each part will be less than a semicircle.]
(iv) True [∵ Diameter = 2 × Radius]
(v) False [∵ The region between the chord and its corresponding arc is a segment.]
(vi) True [∵ A circle is drawn on a plane.]
Q1. Recall that two circles are congruent if they have the same radii. Prove that equal chords of congruent cirlces subtend equal angles at their centres.
Sol: We have a circle having its centre at O and two equal chords AB and CD such that they subtend ∠AOB and ∠COD respectively at the centre, i.e. at O.
We have to prove that
∠AOB = ∠COD
Now, in ΔAOB and ΔCOD, we have
AO = CO [Radii of the same circle]
BO = DO [Radii of the same circle]
AB = CD [Given]
∴ ΔAOB &becong; ΔCOD [SAS criterion]
∴Their correspondong parts are equal
∴ ∠AOB = ∠COD
Q2. Prove that if chords of congruent circles subtend equal angles at their centres, then the chords are equal.
Sol: We have a circle having its centre at O, and its two chords AB and CD such that
∠AOB = ∠COD
We have to prove that
AB = CD
∵In ΔAOB and ΔCOD, we have:
AO = CO [Radii of the same circle]
BO = DO [Radii of the same circle]
∠AOB = ∠COD [Given]
∴ ΔAOB ≌ ΔCOD [SAS criterion]
∴Their correspondong parts are equal, i.e. AB - CD
Q1. Draw different pairs of circles. How many points does each pair have in common? What is the maximum number of common points?
Sol: Let us draw different pairs of circles as shown below:
We have
Thus, two circles can have at the most two points in common.
Q2. Suppose you are given a circle. Give a construction to find its centre.
Sol: Steps of construction
I. Take any three points on the given circle. Let these be A, B and C.
II. Join AB and BC.
III. Draw the perpendicular bisector PQ of AB.
IV. Draw the perpendicular bisector RS of BC such that it intersects PQ at O.
Thus, ‘O’ is the required centre of the given circle.
Q3. If two circles intersect at two points, prove that their centres lie on the perpendicular bisector of the common chord.
Sol: We have two circles with centres O and O', intersect at A and B.
∵AB is the common chord of two circles and OO' is the line segment joining the centres of the circles. Let OO' and AB intersect each other at M.
∴ To prove that 00' is the perpendicular bisector AB, we join OA, OB, O'A and O'B.
Now, in ΔOAO' and ΔOBO', we have
OA = OB [Radii of the same circle]
O'A = O'B [Radii of the same circle]
OO' = OO' [Common]
∴Using the SSS criterion,
ΔOAO' = ΔOB0'
∠1 = ∠2 [c.p.c.t.]]
Now, in ΔAOM and ΔBOM,
OA = OB [Radii of the same circle]
OM = OM [Common]
∠1 = ∠2 [Proved]
∴ ΔOAM ≌ ΔBOM [SAS criterion]
⇒ ∠3 = ∠4 [c.p.c.t.]
But∠3 + ∠4 = 180° [Linear pair]
∴∠3 = ∠4 = 90° each.
⇒AM ⊥ OO’
Also AM = BM [c.p.c.t]
⇒M is the mid-point of AB. Thus, OO’ ist he perpendicular bisector of AB.
Q1. Two circles of radii 5 cm and 3 cm intersect at two points and the distance between their centres is 4 cm. Find the length of the common chrod.
Sol: We have two intersecting circles with centres at O and O’ respectively.
Let PQ be the common chord.
∵ In two intersecting circles, the line joining their centres is perpendicular bisector of teh common chord.
∴ ∠OLP = ∠OLP = 90°
PL = PQ
Now in right ∠OLP,
PL2 + OL2 = OP2
⇒ PL2 + (4 – x)2 = 52
⇒ PL2 = 52 – (4 – x)2
⇒ PL2 = 25 – 16 – x2 + 8x
⇒ PL2 = 9 – x2 + 8x ...(1)
Again, in ΔO’LP,
PL2 = 32 – x2 = 9 – x2 ...(2)
From (1) and (2), we have
9 – x2 + 8x = 9 – x2
⇒ 8x = 0
⇒ x = 0
⇒ L and O' coincide.
∴ PQ is a diameter of the smaller circle.
⇒ PL = 3 cm
But PL = LQ
∴ LQ = 3cm
PQ = PL + LQ = 3 cm + 3 cm = 6 cm
Thus, the required length of the common chord = 6 cm.
Q2. If two equal chords of a circle intersect within the circle, prove that the segments of one chord are equal to corresponding segments of the other chord.
Sol: We have a circle with centre O. Equal chords AB and CD intersect at E.
To prove that AE = DE and CE = BE, draw OM ⊥ AB and ON ⊥ CD.
Since AB = CD [Given]
∴ OM = ON [Equal chords are equidisitant from teh centre.]
Now, in right ΔOME and right ΔONE,
OM = ON [Proved]
OE = OE [Common]
∴ ΔOME ≌ ΔONE [RHS criterion]
ME = NE [c.p.c.t]
⇒ AE = DE ...(1)
Since AB = CD [Given]
∴ AB – AE = CD – DE
⇒ CE = BE ...(2)
From (1) and (2), we have
AE = DE and CE = BE
Q3. If two equal chords of a circle intersect within the circle, prove that the line joining the point of intersection to the centre makes equal angles with the chords.
Sol: We have a circle with centre O and equal chords AB and CD are intersecting at E. OE is joined.
A To prove that ∠1 = ∠2, let us draw OM ⊥ AB and ON ⊥ CD.
In right ΔOME and right ΔONE,
OM = ON [Equal chords are equidistant from the centre.]
OE = OE [Common]
∴ ΔOME ≌ ΔONE [RHS criterion]
⇒ Their corresponding parts are equal.
∴ ∠OEM = ∠OEN
or ∠OEA = ∠OED
Q4. If a line intersects two concentric circles (circles with the same centre) with centre O at A, B, C and D, prove that AB = CD (see figure).
Sol: We have two circles with the common centre O.
A line ‘l’ intersects the outer circle at A and D and the inner circle at B and C. To prove that AB = CD, let us draw OM ⊥ l.
For the outer circle,
⇒ OM ⊥ l [Construction]
∴ AM = MD [Perpendicular from the centre to the chord bisects the chord]
...(1)
For the inner circle,
OM ⊥ l [Construction]
∴BM = MC [Perpendicular from the centre to the chord bisects the chord]
...(2)
Subtracting (2) from (1), we have
AM – BM = MD – MC
AB = CD
Q5. Three girls Reshma, Salma and Mandip are playing a game by standing on a circle of radius 5 m drawn in a park. Reshma throws a hall to Salma, Salma to Mandip, Mandip to Reshma. If the distance between Reshma and Salma and between Salma and Mandip is 6 m each, what is the distance between Reshma and Mandip?
Sol: Let the three girls Reshma, Salma and Mandip are positioned at R, S and M, respectively on the circle of radius 5 m.
RS = SM = 6 m [Given]
Equal chords of a circle subtend equal angles at the centre.
∠1 = ∠2
In ΔPOR and ΔPOM,
OP = OP [Common]
OR = OM [Radii of the same circle]
∠1 = ∠2 [Proved]
∴ ΔPOR ≌ΔPOM [SAS criterion]
⇒ Their corresponding parts are equal.
∴ PR = PM and ∠OPR = ∠OPM
∵ ∠OPR + ∠OPM = 180° [Linear pairs]
∴ ∠OPR = ∠OPM = 90°
⇒ OP⊥RM
Now, in A RSP and A MSP, [6 m each]
RS = MS [Common]
SP = SP
∠RSP = ∠MSP
∴ΔRSP ≌ΔMSP [SAS criterion]
But ∠RSP + ∠MSP = 180°
⇒∠RPS = ∠MSP = 90° [Each]
∴ SP passes through O.
Let OP = x m
∴ SP = (5 – x) m
Now, in right ΔOPR,
x2 + RP2 = 52
In right ΔSPR,
(5 – x)2 + RP2 = 62
From (1), RP2 = 52 – x2
From (2), RP2 = 62 – (5 – x)2
∴ 52 – x2 = 62 – (5 – x)2
⇒ 25 – x2 = 36 –[25 – 10x + x2]
⇒ 25 – x2 – 36 –[25 – 10x + x2 = 0
⇒ –10x + 14 = 0 ⇒ 10x = 14
Now, RP2 = 52 – x2 ⇒RP2 = 25 – (1.4)2
⇒ RP2 = 25 – 1.96 = 23.04 m
∴ RM = 2 RP = 2 × 4.8 m = 9.6 m
Thus, distance between Reshma and Mandip is 9.6 m.
Q6. A circular park of radius 20 m is situated in a colony. David are sitting at equal distance on its boundary each having a toy each other. Find the length of the string of each phone.
Sol: In the figure, let Ankur, Syed and David are sitting at A, S
AS = SD = AD
i.e. DASD is an equilateral triangle.
Let the length of each side of the equilateral triangle is 2x metres.
Let us draw AM ⊥ SD.
Since DASD is an equilateral,
∴ AM passes through O.
Q1. In the figure, A, B and C are three points on a circle with centre O such that ∠BOC = 30° and ∠AOS = 60°. If D is a point on the circle other than the arc ABC, find ∠ADC.
Sol: We have a circle with centre O, such that ∠AOB 60° and ∠BOC = 30°
∵ ∠AOB + ∠BOC = ∠AOC
∴ ∠AOC = 60° + 30° = 90°
Now, the arc ABC subtends ∠AOC = 90° at the centre and ∠ADC at a point D on the circle other than the arc ABC.
Q2. A chord of a circle is equal to the radius of the circle. Find the angle subtended by the chord at a point on the minor arc and also at a point on the major arc.
Sol: We have a circle having a chord AB equal to radius of the circle.
∴ AO = BO = AB
∴ ΔAOB is an equilateral triangle.
Since, each angle of an equilateral = 60°.
⇒ ∠AOB = 60°
Since, the arc ACB makes reflex ∠AOB = 360° – 60° = 300° at the centre of the circle and ∠ABC at a point on the minor arc of the circle.
Thus, the angle subtended by the chord on the minor arc = 150° and on the major arc = 30°.
Q3. In the figure, ∠PQR = 100°, where P, Q and R are points on a circle with centre O. Find ∠OPR.
Sol: The angle subtended by an arc of a circle at its centre is twice the angle subtended by the same arc at a point on the p circumference.
∴ reflex ∠POR = 2∠PQR
But ∠POR = 100°
∴ reflex ∠POR = 2 × 100° = 200°
Since, ∠POR + reflex = ∠POR = 360°
⇒ ∠POR + 200° = 360°
⇒ ∠POR = 360°
⇒ ∠POR = 360° – 200°
⇒ ∠POR = 160°
Since, OP = OR
∴ In ∠POR, ∠OPR = ∠OPR
Also, ∠OPR + ∠ORP + ∠POR = 180°
∠OPR + ∠ORP + 160° = 180°
2∠OPR = 180° – 160° = 20°
Q4. In the figure, ∠ABC = 69° ∠ACB 31°, find ∠BDC.
Sol: We have, in ΔABC,
∠ABC = 69° and ∠ACB = 31°
But ∠ABC + ∠ACB + ∠BAC = 180°
∴ 69° + 31° + ∠BAC = 180°
⇒ ∠BAC = 180° – 69° – 31° = 80°
Since, angles in the same segment are equal.
∴ ∠BAC = ∠BAC
⇒ ∠BDC = 80°
Q5. In the figure, A, B, C and D are four points on a circle. AC and BD intersect at a point E such that ∠BEC = 130° and ∠ECD = 20°.
Find ∠BAC.
Sol: In ΔCDE,
Exterior ∠BEC = {Sum of interior opposite angles}
[BD is a straight line.]
130° = ∠EDC + ∠ECD
130° = ∠EDC + 20°
⇒ ∠EDC = 130° – 20° = 110°
⇒ ∠BDC = 110°
Since, angles in the same segment are equal.
∠BAC = ∠BDC
⇒ ∠BAC = 110°
Q6. ABCD is a cyclic quadrilateral whose diagonals intersect at a point E. If ∠DBC = 70°, ∠BAC is 30°, find ∠BCD. Further, if AB = BC, find ∠ECD.
Sol: ∵ Angles in teh same segment of a circle are equal.
∴ ∠BAC = ∠BDC
⇒ 30° = ∠BDC
Also ∠DBC = 70° [Given]
∴In ΔBCD, we have
∠BCD + ∠DBC + ∠CDB = 180° [Sum of angles of a triangle is 180°]
⇒ ∠BCD + 70° + 30° = 180°
⇒ ∠BCD = 180° – 70° – 30° = 80°
Now, in ΔABC,
AB = BC
⇒ ∠BCA = ∠BAC [Angles opposite to equal sides of a triangle are equal]
⇒∠BCA = 30°
Now, ∠BCA = ∠ECD = ∠BCD
⇒ 30° + ∠ECD = 80°
⇒ ∠ECD = 80° – 30° = 50°
Q7. If diagonals of a cyclic quadrilateral are diameters of the circle through the vertices of the quadrilateral, prove that it is a rectangle.
Sol: ∵AC and BD are diameters.
∴ AC = BD [∵All diameters of a circle are equal]
Since a diameter divides a circle into equal parts.
∠ABC = 90°
∠BCD = 90°
and ∠CDA = 90°
Now, in right ΔABC and right ΔBAD,
AC = BD [From (1)]
AB = AB [Common]
∴ ABC ≌ ΔBAD [RHS criterion]
⇒ BC = AD [c.p.c.t.]
Similarly, AB = CD
Thus, the cyclic quadrilateral ABCD is such that its opposite sides are equal and each of its angle is right angle.
Q8. If the nonparallel sides of a trapezium are equal, prove that it is cyclic. Solution: We have a trapezium ABCD such that AB || CD and AD = BC.
Let us draw BE || AD such that ABED is a parallelogram.
∵The opposite angles of a parallelogram are equal.
∴ ∠BAD = ∠BED ...(1)
and AD = BE [Opposite sides of a parallelogram] ...(2)
But AD = BC [Given] ...(3)
∴ From (2) and (3), we have
BE = BC
⇒ ∠BEC = ∠BCE [Angles opposite to equal sides of a triangle Δ are equal] ...(4)
Now, ∠BED + ∠BEC = 180° [Linear pairs]
⇒ ∠BAD + ∠BCE = 180° [Using (1) and (4)]
i.e. A pair of opposite angles of quadrilateral ABCD is 180°.
∴ ABCD is cyclic.
⇒ The trapezium ABCD is a cyclic.
Q9. Two circles intersect at two points B and C. Through B, two line segments ABD and PBQ are drawn to intersect the circles at A, D and P, Q respectively (see the figure). Prove that ∠ACP = ∠QCD.
Sol: Since angles in the same segment of a circle are equal.
∴ ∠ACP = ∠ABP ...(1)
Similarly, ∠QCD = ∠QBD ...(2)
Since ∠ABP = ∠QBD [Vertically opposite angles are equal]
From (1) and (2), we have
∠ACP = ∠QCD
Q10. If circles are drawn taking two sides of a triangle as diameters, prove that the point of intersection of these circles lie on the third side.
Sol: We have a ΔABC, and two circles described with diameters as AB and AC respectively. They intersect in a point D.
Let us join A and D.
AB is a diameter.
∴ ∠ADE is an angle formed in a semicircle.
⇒ ∠ADB = 90° ...(1)
Similarly, ∠ADC = 90° ...(2)
Adding (1) and (2), we have
∠ADB + ∠ADC = 90° + 90° = 180°
i.e. B, D and C are collinear points.
⇒ BC is a straight line.
Thus, D lies on BC.
Q11. ABC and ADC are two right triangles with common hypotenuse AC. Prove that ∠CAD = ∠CBD.
Sol: We have right ΔABC and right ΔADC such that they are having AC as their common hypotenuse.
∵ AC is a hypotenuse.
∵ ∠ADC = 90° = ∠ABC
∴ Both the triangles are in the same semicircle.
⇒ A, B, C and D are concyclic.
Let us join B and D.
∵ DC is a chord.
∴ ∠CAD and ∠CBD are formed in the same segment.
⇒ ∠CAD = ∠CBD.
Q12. Prove that a cyclic parallelogram is a rectangle.
Sol: We have a cyclic parallelogram ABCD.
Since, ABCD is a cyclic quadrilateral.
∴ Sum of its opposite angles = 180°
⇒∠A + ∠C = 180° ...(1)
But∠A = ∠C ...(2)
[Opposite angles of parallelogram are equal]
From (1) and (2), we have
∠A = ∠C = 90°
Similarly, ∠B = ∠D = 90°
⇒ Each angle of the parallelogram ABCD is of 90°.
Thus, ABCD is a rectangle.
Q1. Prove that the line of centres of two intersecting circles subtends equal angles at the two points of intersection.
Sol: We have two circles with centres O and O' respectively such that they intersect each other at P and Q. To prove that ∠OPO' = ∠OQO', let us join OP, O'P, OQ, O'Q and OO'.
In ΔOPO' and ΔOQO', we have
OP = OQ [Radii of the same circle]
O'P = O'Q [Radii of the same circle]
OO' = OO' [Common]
∴ Using the SSS criterion,
ΔOPO' ≌ ΔOQO'
∴ Their corresponding parts are equal.
Thus, ∠OPO' = ∠OQO'
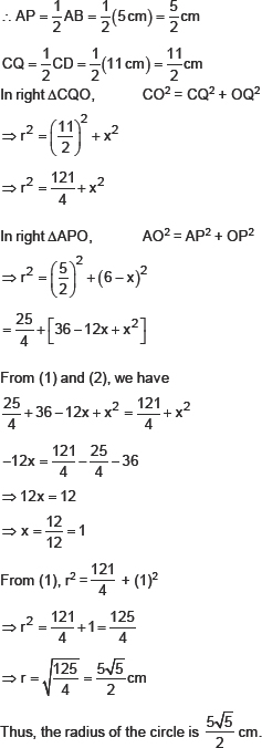
Q2. Two chords AB and CD of lengths 5 cm and 11 cm respectively of a circle are parallel to each other and are on opposite sides of its centre. If the distance between AB and CD is 6 , find the radius of the circle.
Sol: We have a circle with centre O. (Chord AB) ∴∴ (Chord CD) and the perpendicular distance between AB and CD is 6 cm and AB = 5 cm, CD = 11 cm.
Let ‘r' be the radius of the circle.
Let us draw OP ⊥ AB and OQ ⊥ CD.
We join OA and OC.
Let OQ = x cm
∴ OP = (6 – x) cm [PQ = 6 cm
∵The perpendicular from the centre of a circle to chord bisects the chord.
Q3. The lengths of two parallel chords of a circle are 6 cm and 8 cm. If the smaller chord is at distance 4 cm from the centre, what is the distance of the other chord from the centre?
Sol: We have a circle with centre O. Parallel chords AB and CD are such that the smaller chord is 4 cm away from the centre.
Let us draw OP ⊥ AB and join
∴ OP ⊥ AB
∴ P is the mid-point of AB.
But we reject r = –5, because distance cannot be negative.
Again, in right ΔCQO, we have
OC2 = OQ2 + CQ2
⇒ r2 = OQ2 + 42
⇒ OQ2 = r2 – 42
⇒ OQ2 = 52 – 42 = 25 –16 = 9 [r = 5 cm]
The distance of the other chord (CD) from the centre is 3 cm.
Note: In case we take the two parallel chords on either side of the center, then
In ΔPOA, OA2 = OP2 + PA2
r2 = 42 + 32 = 52 = r = 5cm
In ΔQOC, OC2 = CQ2 + OQ2
⇒r2 = 42 + OQ2 ⇒OQ2 = 52 – 42 = 9
⇒OQ = 3cm
Q4. Let the vertex of an angle ABC be located outside a circle and let the sides of the angle intersect equal chords AD and CE with the circle. Prove that ∠ABC is equal to half the difference of the angles subtended by the chords AC and DE at the centre.
Sol: We have an ∠ABC such that the arms BA and BC on production, make two equal chords AD and CE. Let us join AC, DE and AE
An exterior angle of a triangle is equal to the sum of interior opposite angles.
∴In A BAE, we have
Exterior ∠DAE = ∠ABC + ∠AEC ...(1)
The chord DE, subtends ∠DOE at the centre and ∠DAE in the remaining part of the circle.
Q5. Prove that the circle drawn with any side of a rhombus as diameter, passes through the point of intersection of its diagonals.
Sol: We have a rhombus ABCD such that its diagonals AC and BD intersect at O.
Taking AB as diameter, a circle is drawn. Let us draw PQ || AD and RS || AB, both passing through O. P, Q, R and S are the mid-points of DC, AB, AD and BC respectively.
All the sides of a rhombus are equal.
∴ AB = DC
i.e. A circle drawn with Q as centre, will pass through A, B and O.
Thus, the circle passes through the point of intersection (O) of the diagonals of the rhombus ABCD.
Q6. ABCD is a parallelogram. The circle through A, B and C intersect CD (produced if necessary) at E.
Prove that AE, = AD.
Sol: We have a parallelogram ABCD. A circle passing through A, B and C is drawn such that it intersects CD at E.
∵ABCE is a cyclic quadrilateral.
∴∠AEC + ∠B = 180° ...(1)
[Opposite angles of a cyclic quadrilateral are supplementary]
But ABCD is a parallelogram.
∴ ∠D = LB ...(2)
[Opposite angles of a parallelogram are equal]
From (1) and (2), we have
∠AEC + ∠D = 180° ...(3)
But ∠AEC + ∠AED = 180° ...(4)
From (3) and (4), we have
∠D = ∠AED
i.e. The base angles of ∠ADE arc equal.
∴Opposite sides must be equal.
⇒ AD = AE
Q7. AC and BD are chords of a circle which bisect each other. Prove that (i) AC and BD are diameters, (ii) ABCD is a rectangle.
Sol: We have a circle with centre at O. Two chords AC and BD are such that they bisect each other. Let their point of intersection be O. Let us join AB, BC, CD and DA.
(i) To prove that AC and BD are the diameters of the circle.
In ΔAOB and ΔCOD, we have
AO = OC [∵ O is the mid-point of AC]
BO = DO [∵ O is the mid-point of BD]
∠AOB = ∠COD [Vertically opposite angles]
∴Using the SAS criterion of congruence,
ΔAOB ≌ ΔCOD
⇒AB = CD
⇒arc AB = arc CD
Similarly, arc AD = arc BC
Adding (1) and (2),
arc AB + arc AD = arc CD + arc BC
⇒BAD = BCD
⇒BD divides the circle into two equal parts.
∴BD is a diameter.
Similarly, AC is a diameter.
(ii) To prove that ABCD is a rectangle.
We have already proved that
ΔAOB ≌ΔCOD
⇒∠OAB = ∠OCD ⇒ ∠BAC = ∠ABD
⇒AB || CD
Similarly, AD || BC
∴ABCD is a parallelogram.
Since, opposite angles of a parallelogram are equal.
∴ ∠DAB = ∠DCB
But ∠DAB + ∠DCB = 180°
[Sum of the opposite angles of a cyclic quadrilateral is 180°]
⇒∠DAB = 90° = ∠DCB
Thus, ABCD is a rectangle.
Q8. Bisectors of angles, A, B cmc! C of a triangle ABC intersect its circumcircle at D, E and F respectiveltively. Prove that the angles of the triangle DEF are

Sol: We have a triangle ABC inscribed in a circle, such that bisectors of ∠A, ∠B and ∠C intersect the circumcircle at D, E and F respectively.
Let us join DE, EF and FD.
Angles in the same segment are equal.
∠FDA = ∠FCA ...(1)
∠FDA = ∠EBA ...(2)
Adding (1) and (2), we have
∠FDA + ∠EDA = ∠FCA + ∠EBA
Q9. Two congruent circles intersect each other at points A and B. Through A any line segment PAQ is drawn so that P, Q lie on the two circles. Prove that BP = BQ.
Sol: We have two congruent circles such that they intersect each other at A and B. A line passing through A, meets the circle at P and Q. Let us draw the common chord AB.
∵Angles subter.ded by equal chords in the congruent circles are equal.
∴ ∠APB = ∠AQB
Now, in ΔPBQ, we have
∠1 = ∠2
∴Their opposite sides must be equal.
⇒ PB = BQ
Q10. In any triangle ABC, if the angle bisector of ∠A and perpendicular bisector of BC intersect, prove that they intersect on the circumcircle of the triangle ABC.
Sol: We have a ΔABC inscribed in a circle. The internal bisector of ∠A and the bisector of BC intersect at E.
Let us join BE and CE.
∠BAE = ∠CAE
[AE is the bisector of ∠BAC]
∴ arc BE = arc EC
⇒ chord BE = chord EC
In ΔBDE and ΔCDE, we have
BE = CE
BD = CD [Given]
DE = DE [Common]
∴ By SSS criterion of congruence,
ΔBDE ≌ ΔCDE
⇒ Their corresponding parts are equal.
∴∠BDE = ∠CDE [Linear pairs]
But ∠BDE = ∠CDE = 180°
⇒∠BDE = ∠CDE = 90°
i.e. DE ⊥BC
Thus, DE is the perpendicular bisector of BC.