CBSE Class 9 Math, Number Systems

Class IX Math
Notes for Real Numbers
Basic Concept and Important Points
1.  Natural Numbers: Numbers from 0 (zero) onward are known as Natural numbers, denoted by ‘N’.
      N = {1, 2, 3, 4,......}
2.  Whole Numbers: Numbers from 0 (zero) onward are known as Whole numbers, denoted by ‘W’.
      W = {0, 1, 2, 3, 4, ......}
3.  Integers: The collection of all whole numbers and negative of natural numbers are called Integers, denoted by ‘Z’ or ‘I’.
      Z or I = {...... –3, –2, –1,0,1,2,3 ......}
4.  Rational Number: A number which can be expressed as where q ≠ 0 and q, q εZ is know as rational number, denoted by ‘Q’.
5.  Irrational Number: A number which can’t be expressed in the form of p/q and its decimal representation is non-terminating and non-repeating is known as irrational number.
      
6.  Number Line:
      
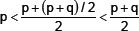
7.  Method to find two or more rational numbers between two numbers p and q:
      If p < q, then one of the number be and other will be in continuation as
      
8.  The sum of a rational number and an irrational number is always an irrational number.
9.  The product of a non-zero rational number and an irrational number is always an irrational number.
       is an irrational number.
10.  The sum of two irrational numbers is not always an irrational number.
          
11.  The product of two irrational numbers is not always an irrational number.
          
12.  If a is a rational number and n is a positive integer such that the nth root of a is an irrational number, then a1/n is called a surd.
          
13.  If a is a surd then ‘n’ is known as order of surd and ‘a’ is known as radicand.
14.  Every surd is an irrational number but every irrational number is not a surd.
15.  Laws of radicals:
          
16.  A surd which has unity only as rational factor is called a pure surd.
17.  A surd which has a rational factor other than unity is called a mixed surd.
18.  Order of a given surd can be changed by using following steps:
          (a) Let the surd be a and m be the order of surd to which it has to be converted.
          (b) Compute and let
          (c) Write which is the required result.
19.  Surds having same irrational factors are called similar or like surds.
20.  Only similar surds can be added or subtracted by adding or subtracting their rational parts.
21.  Surds of same order can be multiplied or divided.
22.  If the surds to be multiplied or to be divided are not of the same order, we first convert them to the same order and then multiply or divide.
23.  If the product of two surds is a rational number, then each one of them is called the rationalising factor of the other.
           are rationalising factors of one another.
24.  A surd consisting of one term only is called a monomial surd.
25.  An expression consisting of the sum or difference of two monomial surds or the sum or difference of a monomial surd and a rational number is called binomial surd.
          
26.  the binomial surds which differ only in sign (+ or – ) between the terms connecting them, are called conjugate surd
          
27.  Rational exponents:
          (a)   If x, y be any rational numbers different from zero and m be any integer, then
                   xm × ym =(x × y)m.
          (b)   If x be any rational number different from zero and m, n be any integers, then
                   xm × xn = xm+n and (Xm)n = xm×n.
28.  Reciprocals of positive integers as exponents:
          If q be any positive integer other than 1, and x and y be rational numbers such thatxq = y then y1/q = x. We write y1/q as and read it as qth root of y. is called a radical and q is called the index of the radical.
29.  Positive rational numbers as exponents:
          If be any positive rational number (where p and q are positive integers prime to each other) andlet x be any rational number. We have already given a meaning to xp/q. This can be done very easily.
          That is xp/q is the qth root of xp.
          Thus, (4)3/2 = (43)1/2 = (64)1/2 = 8.
30.  If is a negative rational number, then xp/q (x ≠ 0) is equal to
31.  If x be any rational number different from zero, and a and b be any rational numbers, thenxa ÷ xb = xa–b.