Linear Equations in two variables-Important Questions

Class IX Math
Hots for Linear Equations in Two Variables
1.   Solve : 141x + 103y = 217; 103x + 141y = 27
2.   Solve : 55x + 52y = 217; 52x + 55y = 217
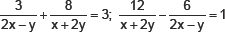
3.   Solve:
4.   Solve:
5.   Solve : x + y = 18; y + z = 12; z + x = 16
6.   Which of the following is not a linear equation in two variables?
       (i) px + qy + c = 0
(ii) ax2 + bx + c = 0
(iii) 3x + 2y = 5
7.   One of the solutions of the linear equation 4x � 3y + 6 = 0 is
       (i) (3, 2)
(ii) (�3, 2)
(iii) (�3, �2)
8.   Write the linear equation whose solution is x = �1, y = 1?
9.   The point (m, m) always lies on which of the following lines?
          x � y = 0 or x + y = 2m
10.   How many linear equations in x and y can have a solution as (x = 1, y = 3)?