Class IX Math
NCERT Solutions For Polynomials
1. Which of the following expressions are polynomials in one variable and which are not? State reasons for your answer.
∵ All the exponents of x are whole numbers.
∴ 4x2 – 3x + 7 is a polynomial in one variable.
(ii)

∵ All the exponents of y are whole numbers.
∴

is a polynomial in one variable.
∵; Exponent of every variable is a whole number,
∴ x10 + y3 + t50 is a polynomial in x, y and t, i.e. in three variables.
2. Write the co-efficients of x2 in each of the following:
(i) 2 + x2 + x
(ii) 2 – x2 + x3
(iii)

(v)

The co-efficient of x2 is 1.
The co-efficient of x2 is (–1).
(iii)

The co-efficient of x
2 is

(iv)

∴ The co-efficient of x2 is 0
3. Give one example each of a binomial of degree 35, and of a monomial of degree 100.
Ans. (i) A binomial of degree 35 can be: 3x35 – 4
(ii) A monomial of degree 100 can be:

4. Write the degree of each of the following polynomials:
(i) 5x3 + 4x2 + 7x
(ii) 4 - y2
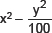
(iii)

(iv) 3
∵ The highest exponent of x is 3.
∴ The degree of the polynomial is 3.
∵ The highest exponent of y is 2.
∴ The degree of the polynomial is 2.
(iii)

∵ The highest exponent of t is 1.
∴ The degree of the polynomial is 1.
∴ The degree of the polynomial 3 is 0.
5. Classify the following as linear, quadratic and cubic polynomials:
(i) x2 + x
(ii) x – x3
(iii) y + y2 + 4
(iv) 1 + x
(v) 3t
(vi) r2
(vii) 7x3
∵ The degree of x2 + x is 2.
∴ It is a quadratic polynomial.
∵ The degree of x – x3 is 3.
∴ It is a cubic polynomial.
∵ The degree of y + y2 + 4 is 2.
∴ It is a quadratic polynomial.
∵ The degree of 1 + x is 1.
∴ It is a linear polynomial.
∵ The degree of 3t is 1.
∴ It is a linear polynomial.
∵ The degree of r2 is 2.
∴ It is a quadratic polynomial.
∵ The degree of 7x3 is 3.
∴ It is a cubic polynomial.
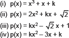
1. Find the value of the polynomial 5x – 4x2 + 3 at
(i) x = 0
(ii) x = –1
(iii) x = 2
Ans. (i) ∵ p(x) = 5x – 4x2 + 3 = 5(x) – 4(x)2 + 3
∴ p(0) = 5(0) – 4(0) + 3 = 0 – 0 + 3 = 3
Thus, the value of 5x – 4x2 + 3 at x = 0 is 3.
(ii) ∵ p(x) = 5x – 4x2 + 3 = 5(x) – 4(x)2 + 3
∴ p(–1) = 5(–1) – 4(–1)2 + 3 = – 5 – 4(1) + 3
= –5 – 4 + 3 = –9 + 3 = –6
∴ The value of 5x – 4x2 + 3 at x = –1 is –6.
(iii) ∵ p(x) = 5x – 4x2 + 3 = 5(x) – 4(x)2 + 3
∴ p(2) = 5(2) – 4(2)2 + 3 = –10 – 4(4) + 3
Thus the value of 5x – 4x2 + 3 at x = 2 is –3
2. Find p(0), p(1) and p(2) for each of the following polynomials:
(ii) p(t) = 2 + t + 2t2 – t3
(iv) p(x) = (x – 1) (x + 1)
Ans. (i) p(y) = y2 – y + 1
∵ p(y) = y2 – y + 1 = (y)2 – y + 1
∴ p(0) = (0)2 – (0) + 1 = 0 – 0 + 1 = 1
p(1) = (1)2 – (1) + 1 = 1 – 1 + 1 = 1
p(2) = (2)2 – 2 + 1 = 4 – 2 + 1 = 3
(ii) p(t) = 2 + t + 2t2 – t3
∵ p(t) = 2 + t + 2t2 – t3 = 2 + t + 2(t)2 – (t)3
∴ p(0) = 2 + (0) + 2(0)2 – (0)3
p(1) = 2 + (1) + 2(1)2 – (1)3
p(2) = 2 + 2 + 2(2)2 – (2)3 = 2 + 2 + 8 – 8 = 4 (iii) p(x) = x3
∵ p(x) = x3 = (x)3
∴ p(0) = (0)3 = 0
p(2) = (2)3 = 8 [∵ 2 × 2 × 2 = 8]
(iv) p(x)= (x – 1)(x + 1)
∵ p(x) = (x – 1)(x + 1)
∴ p(0) = (0 – 1)(0 + 1) = –1 × 1 = –1
p(1) = (1 – 1)(1 + 1) = (0)(2) = 0
p(2) = (2 – 1)(2 + 1) = (1)(2) = 3
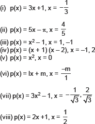
3. Verify whether the following are zeros of the polynomial, indicated against them.
Ans. (i) ∵ p(x) = 3x + 1
(iii) Since, p(x) = x2 – 1
∴ p(1) = (1)2 – 1 = 1 – 1 = 0
∴ x = 1 is a zero of x2 – 1.
Also p(–1) = (–1)2 – 1 = 1 – 1 = 0
∴ x = –1 is also a zero of x2 – 1.
(iv) We have p(x) = (x + 1)(x – 2)
∴ p(–1) = (–1 + 1)(–1 – 2) = (0)(–3) = 0
∴ x = –1 is a zero of (x + 1)(x – 1).
∴ Also, p(2) = (2 + 1)(2 – 2) = (3)(0) = 0
∴ Since p(2) = 0,
∴ x = 2 is also a zero of (x + 1)(x – 1).
∴ p(0) = (0)2 = 0
∴ 0 is a zero of x2.
(vi) We have p(x) = lx + m
(vii) We have p(x) = 3x2 – 1
(viii) We have p(x) = 2x + 1

is not a zero of 2x + 1.
4. Find the zero of the polynomial in each of the following cases:
(i) p(x) = x + 5
(ii) p(x) = x – 5
(iii) p(x) = 2x + 5
(iv) p(x) = 3x – 2
(v) p(x) = 3x
(vi) p(x) = ax, a ≠ 0
(vii) p(x) = cx + d, c ≠ 0, c, d are real numbers.
Ans. (i) We have p(x) = x + 5
∴ Thus, a zero of x + 5 is (–5).
(ii) We have p(x) = x – 5
∴ Thus, a zero of x – 5 is 5.
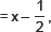
(iii) We have p(x) = 2x + 5
Thus, a zero of 3x – 2 is

(vi) Since, p(x) = ax, a ≠ 0
or

(viii) Since, p(x) = cx + d
or

Thus, a zero of cx + d is

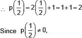
5. If p(x) = x
2 – 4x + 3, evaluate:

Ans. We have p(x) = x2 4x + 3
∴ p(–1) = (–1)2 – 4(–1) + 3
and p(2) = (2)2 – 4(2) + 3
1. Find the remainder when x3 + 3x2 + 3x + 1 is divided by
(i) x + 1
(ii)

(iii) x
(iv) x + π
(v) 5 + 2x
Ans. (i) ∴ The zero of x + 1 is –1
And by remainder theorem, when
p(x) = x3 + 3x2 + 3x + 1 is divided by x + 1, then remainder is p(–1).
∴ p(–1) = (–1)3 + 3 (–1)2 + 3(–1) + 1
= –1 + (3 × 1) + (–3) + 1
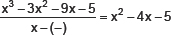
and p(x) = x3 + 3x2 + 3x + 1
∴ For divisor

remainder is given as
(iii) We have p(x) = x3 + 3x2 + 3x + 1 and the zero of x is 0
p(0) = (0)3 + 3(0)2 + 3(0) + 1
Thus, the required remainder = 1.
(iv) We have p(x) = x3 + 3x2 + 3x + 1 and zero of x + p = (–p)
[∵ x + π = 0 ⇒ x = –π]
∴ p(–π) = (–5)3 + 3(–π)2 + 3(–π) + 1
= –π3 + 3(π2) + (–3π) + 1
Thus, the required remainder is –π3 + 3π2 – 3π + 1.
(v) We have (p(x) = x
3 + 3x
2 + 3x + 1 and zero of 5 + 2x is

2. Find the remainder when x3 – ax2 + 6x – a is divided by x – a.
Ans. We have p(x) = x3 – ax2 + 6x – a
∵ Zero of x – a is a.
[∵ x – a = 0 ⇒ x = a]
∴ p(a) = (a)3 a(a)2 + 6(a) – a = a3 – a3 + 6a – a
∴ Thus, the required remainder = 5a
3. Check whether 7 + 3x is a factor of 3x3 + 7x.
Ans. We have p(x) = 3x
3 + 7x and zero of 7 + 3x is

i.e. the remainder is not 0.
∴ 3x3 – 7x is not divisible by 7 + 3x.
Thus, (7 + 3x) is not a factor of 3x3 – 7x.
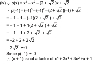
1. Determine which of the following polynomials has a factor (x + 1):
(i) x3 + x2 + x + 1
(ii) x4 + x + x2 + x + 1
(iii) x4 + 3x3 + 3x2 + x +1
(iv)

Ans. For x + 1 = 0, we have x = –1.
(i) p(x) = x3 + x2 + x + 1
∴ p(–1) = (–1)3 + (–1)2 + (–1) + 1
i.e. when p(x) is divided by (x + 1), then the remainder is zero.
∴ (x + 1) is a factor of x3 + x2 + x + 1.
(ii) p(x) = x4 + x3 + x2 +x + 1
∴ p(–1) = (–1)4 + (–1)3 + (–1)2 + (–1) + 1
∵ p(x) is not divisible by x + 1.
i.e. (x + 1) is not a factor of
(iii) ∵ p(x) = x4 + x3 + x2 +x + 1
∴ p(–1) = (–1)4 + 3(–1)3 + 3(–1)2 + (–1) + 1
= (1) + 3(– 1) + 3(1) + (– 1) + 1
∴ (x + 1) is not a factor of x4 + 3x3 + 3x2 +x +1.
2. Use the factor theorem to determine whether g(x) is a factor of p(x) in each of the following cases:
(i) p(x) = 2x3 + x2 – 2x – 1, g(x) = x + 1
(ii) p(x) = x3 + 3x2 + 3x + 1, g(x) = x + 2
(iii) p(x) = x3 – 4x2 + x + 6, g(x) = x – 3
Ans. (i) We have p(x) = 2x3 + x2 – 2x – 1 and g(x) = x + 1
∴ p(–1) = 2(–1)3 + (–1)2 – 2(–1) – 1
= 2(–1)3 + (–1)2 – 2(–1) – 1
∴ g(x) is a factor of p(x).
(ii) We have p(x) = x3 + 3x2 + 3x + 1 and g(x) = x + 2
∴ p(–2) = (–2)3 + 3(–2)2 + 3(–2) + 1
Thus, g(x) is not a facot of p(x).
(iii) We have p(x) = x3 – 4x2 + x + 6 and g(x) = x – 3
∴ p(3) = (3)3 – 4(3)2 + (3) + 6
∴ g(x) is a factor of p(x).
3. Find the value of k, if x – 1 is a factor of p(x) in each of the following cases:
Ans. Here p(x) = x3 + x + k
For x – 1 be a factor of p(x), p(1) should be equal to 0.
We have p(1) = (1)3 + 1 + k
or p(1) = 1 + 1 + k = k + 2
(ii) Here, p(x) = 2x2 + kx + 2
For x – 1, be a factor of p(x), p(1) = 0
Since,

∵ p(1) must be equal to 0.
(iii)

∴ For (x – 1) be a factor of p(x), p(1) should be equal to 0.
(iv) Here p(x) = kx2 – 3x + k and g(x) = x – 1
For g(x) be a factor of p(x), p(1) should be equal to 0.
Since p(1) = k(1)2 – 3(1) + k
(i) 12x2 – 7x + 1
(ii) 2x2 + 7x + 3
(iii) 6x2 + 5x – 6
(iv) 3x2 – x – 4
Here co-efficient of x2 = 12
∴ a = 12, b = –7, c = 1
Now, l + m = –7 and lm = ac = 12 × 1
∴ We have l = (–4) and m = (–3)
Now, 12x2 –7x + 1 = 12x2 – 4x – 3x + 1
Thus, 12x2 – 7x + 1 = (3x – 1)(3x – 1)
Here, a = 12, b = –7, c = 1
∴ l + m = 7 and lm = 2 × 3 = 6
i.e. l + 6 = 7 and 1 × 6 = 6∴ l = 1 and m = 6
2x2 + 7x + 3 = 2x2 + x + 6x + 3
Thus, 2x2 + 7x + 3 = (2x + 1)(x + 1)
We have a = 6, b = 5 and c = –6
∴ l + m = 5 and lm = ac = 6 × (–6) = –36
∴ l + m = 9 + (–4)
∴ 6x2 + 5x – 6 = 6x2 + 9x – 4x – 6
Thus, 6x2 + 5x – 6 = (2x + 3)(3x – 2)
We have a = 3, b = –1 and c = –4
∴ l + m = –1 and lm = 3 × (–4) = –12
∴ l = – 4 and m = 3
Now, 3x2 – x – 4 = 3x2 – 4x + 3x – 4
Thus, 3x2 – x – 4 = (3x – 4)(x + 1)
(i) x3 – 2x2 – x + 2
(ii) x3 – 3x2 – 9x – 5
(iii) x3 + 13x2 + 32x + 20
(iv) 2y3 + y2 – 2y – 1
Ans. (i) x3 – 2x2 – x + 2
Rearranging the terms, we have
x3 – 2x2 – x + 2 = x3 – x – 2x2 + 2
[∴ a2 – b2 = (a + b)(a – b)]
x3 – 2x2 – x + 2 = (x – 1) (x + 1)(x – 2)
We have p(x) = x3 – 3x2 – 9x – 5
p(1) = (1)3 – 3(1)2 – 9(1) –5
Now p(–1) = (–1)3 – 3(–1)2 – 9(–1) –5
∴ By factor theorem, [x – (–1)] is a factor of p(x).
Now,

∴ x3 – 3x2 – 9x – 5 = (x + 1)(x2 – 4x – 5)
= (x + 1)[x2 – 5x + x – 5]
[Splitting –4 into –5 and +1]
= (x + 1)[x(x – 5) +1(x – 5]
= (x + 1)[(x – 5) (x + 1)]
(iii) x3 + 13x2 + 32x + 20
We have p(x) = x3 + 13x2 + 32x + 20
p(1) = (1)3 + 13(1)2 + 32(1) + 20
p(–1) = (–1)3 + 13(–1)2 + 32(–1) + 20
∴ By factor theorem, [x – (–1)], i.e. (x + 1) is a factor p(x).
= (x + 1) (x2 + 12x + 20)
= (x + 1) (x2 + 2x + 12x + 20)
[Splitting the middle term]
= (x + 1)[x(x + 2) + 10(x + 2)]
= (x + 1)[(x + 2) (x + 10)]
= (x + 1)(x + 2) (x + 10)
We have p(y) = 2y3 + y2 – 2y – 1
p(1) = 2(1)3 + (1)2 – 2(1) – 1
∴ By factor theorem, (y – 1) is a factor of p(y).
∴ 2y3 – y2 – 2y – 1 = (y – 1)(2y2 + 3y + 1)
= (y – 1)[2y2 + 2y + y + 1)
[Splitting the middle term]
= (y – 1)[2y(y + 1) + 1(y + 1)]
= (y – 1)[(y + 1) (2y + 1)]
= (y – 1)(y + 1) (2y + 1)
1. Use suitable identities to find the following products:
(i) (x + 4) (x + 10)
(ii) (x + 8) (x – 10)
(iii) (3x + 4)(3x – 5)
(iv)

(v) (3 – 2x) (3 + 2x)
Ans. (i) (x + 4) (x + 10):
(x + a)(x + b) = x2 + (a + b)x + ab, we have:
(x + 4)(x + 10) = x2 + (14 + 10)x + (4 × 10)
Here, a = 8 and b = (–10)
(x + a)(x + b) = x2 + (a + b) + ab,
(x + 8)(x – 10) = x2 + [8 + (–10)]x + [8 × (–10)]
∴ Using the identity
(x + a)(x + b) = x2 + (a + b)x + ab,
(3x + 4)(3x – 5) = (3x)2 + [4 + (–5)]3x + [4 × (–5)]
(iv)

(a + b)(a – b) = a2 – b2, we have:
(a + b)(a – b) = a2 – b2, we have:
(3 – 2x)(3 + 2x) = (3)2 – (2x)2
2. Evaluate the following products without multiplying directly:
(i) 103 × 107
(ii) 95 × 96
(iii) 104 × 96
Ans. (i) We have 103 × 107 = (100 + 3)(100 + 7)
= (100)2 + (3 + 7) × 100 + (3 × 7)
[Using (x + a)(x + b) = x2 + (a + b)x +ab]
= 10000 + (10) × 100 + 21
(ii) We have 95 × 96 = (100 – 5)(100 – 4)
= (100)2 + [(–5) + (–4)] × 100 + [(–5) × (–4)]
[Using (x + a)(x + b) = x2 + (a + b)x +ab]
= 10000 + [–9] × 100 + 21
(iii) We have 104 × 96 = (100 + 4)(100 – 4)
[Using (a + b)(a – b) = a2 – b2]
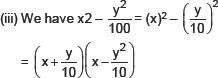
3. Factorise the following using appropriate identities:
(i) 9x2 + 6xy + y2
(ii) 4y2 – 4y + 1
(iii)

Ans. (i) We have 9x2 + 6xy + y2
= (3x)2 + 2(3x)(y) + (y)2
[Using a2 + 2ab + b2 = (a + b)2]
(ii) We have 4y2 + 4y + 1
= (2y)2 – 2(2y)(1) + (1)2
[∴ a2 – 2ab + b2 = (a – b)2]
[Using a2 – b2 = (a + b)(a – b)]
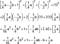
4. Expand each of the following using suitable identities:
(i) (x + 2y + 4z)2
(ii) (2x – y + z)2
(iii) (–2x + 3y + 2z)2
(iv) (3a – 7b – c)2
(v) (–2x + 5y – 3z)2
(x + y + z)2 = x2 + y2 + z2 + 2xy + 2yz + 2zx
∴ (x + 2y + 4z)2 = (x)2 + (2y)2 + (4y)2 + 2(x)(2y) + 2(2y)(4z) + 2(4z)(x)
= x2 + 4y2 + 16z2 + 4xy + 16yz + 8zx
(x + y + z)2= x2 + y2 + z2 + 2xy + 2yz + 2zx,
(2x – y + z)2 = (2x)2 + (–y)2 + (z)2 + 2(2x)(–y) + 2(–y)(z) + 2(z)(2x)
= 4x2 + y2 + z2 – 4xy – 2yz + 4zx
Using (x + y + z)2 = x2 + y2 + z2 + 2xy + 2yz + 2zx, we have
(–2x + 3y + 2z)2 = (–2x)2 + (3y)2 + (2z)2 + 2(–2x)(3y) + 2(3y)(2z) + 2(2z)(–2x)
= 4x2 + 9y2 + 4z2 – 12xy + 12yz – 8zx
Using (x + y + z)2 = x2 + y2 + z2 + 2xy + 2yz + 2zx, we have
(3a – 7b – c)2 = (3a)2 + (–7b)2 + (–c)2 + 2(3a)(–7b) + 2(–7b)(–c) + 2(–c)(3a)
= 9a2 + 49b2 + c2 + (–42ab) + (14bc) – 6ca
= 9a2 + 49b2 + c2 – 42ab + 14bc – 6ca
Using (x + y + z)2 = x2 + y2 + z2 + 2xy + 2yz + 2zx, we have
∴ (–2x + 5y – 3z)2 = (–2x)2 + (5y)2 + (–3z)2 + 2(–2x)(5y) + 2(5y)(–3z) + 2(–3z)(–2x)
= 4x2 + 25y2 + 9z2 + [–20xy] + [–30yz] + [12zx]
= 4x2 + 25y2 + 9z2 – 20xy – 30yz + 12zx
Using (x + y + z)2 = x2 + y2 + z2 + 2xy + 2yz + 2zx, we have
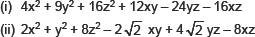
Ans. (i) 4x2 + 9y2 + 16z2 + 12xy – 24yz – 16xz
= (2x)2 + (3y)2 + (–4z)2 + 2(2x)(3y)
+ 2(3y)(–4z) + 2(–4z)(2x)
= (2x + 3y – 4z)(2x + 3y – 4z)
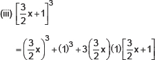
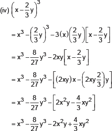
6. Write the following cubes in expanded form:
(i) (2x + 1)3
(ii) 2a – 3b)3
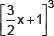
(iii)

(iv)

Ans. Using Identity VI and Identity VII, we have
(x + y)3 = x3 + y3 + 3xy (x + y), and
(x + y)3 = x3 + y3 + 3xy (x – y).
(i) (2x + 1)3 = (2x)3 + (1)3 + 3(2x)(1)
(ii) (2a – 3b)3 = (2a)3 – (3b)3 – 3(2a)(3b)
= 8a3 – 27b3 – 18ab[2a – 3b]
= 8a3 – 27b3 – [36a2b – 54ab2]
= 8a3 – 27b3 – 36a2b + 54ab2
7. Evaluate the following using suitable identities:
(i) (99)3
(ii) (102)3
(iii) (998)3
∴ 993 = (100 – 1)3
= 1003 – 13 – 3(100)(1)(100 – 1)
= 1000000 – 1 – 30000 + 300
= (100)3 + (2)3 + 3(100)(2)[100 2 1]
= 1000000 + 8 + 600[100 + 2]
= 1000000 + 8 + 60000 + 1200
∴ (999)3 = (1000 – 2)3
= (1000)3 – (2)3 – 3(1000)(2)[1000 – 2]
= 10000000 – 8 – 6000[1000 – 2]
= 10000000 – 8 – 600000 – 12000
8. Factorise each of the following:
(i) 8a3 + b3 + 12a2b + 6ab2
(ii) 8a3 – b3 – 12a2b – 6ab2
(iii) 27 – 125a3 – 135a + 225a2
(iv) 64a3 – 27b3 – 144a2b + 108ab2
Ans. (i) 8a3 + b3 + 12a2b + 6ab2
= (2a)3 + (b)3 + 6ab(2a + b)
= (2a)3 + (b)3 + 3(2a)(b)(2a + b)
= (2a + b)3 [Using Identify VI]
= (2a + b)(2a + b)(2a + b)
(ii) 8a3 – b3 – 12a2b – 6ab2
= (2a)3 – (b)3 – 3(2a)(b)(2a – b)
= (2a – b)3 [Using Identify VII]
= (2a – b)(2a – b)(2a – b)
(iii) 27 – 125a3 – 135a + 225a2
= (3)3 – (5a)3 – 3(3)(5a)[3 – 5a]
= (3 – 5a)3 [Using Identify VII]
= (3 – 5a)(3 – 5a)(3 – 5a)
(iv) 64a3 – 27b3 – 144a2b + 108ab2
= (4a)3 – (3b)3 – 3(4a)(3b)[4a – 3b]
= (4a – 3b)3 [Using Identify VII]
= (4a – 3b)(4a – 3b)(4a – 3b)
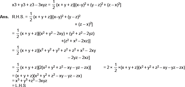
(i) x3 + y3 = (x + y)(x2 – xy + y2)
(ii) x3 – y3 = (x – y)(x2 + xy + y2)
Ans. (i) R.H.S. = (x + y)(x2 – xy + y2)
= x(x2 – xy + y2) + y(x2 – xy + y2)
= x3 – x2y + xy2 + x2y – xy2 + y3
(ii) R.H.S. = (x – y)(x2 + xy + y2)
= x(x2 + xy + y2) – y(x2 + xy + y2)
= x3 + x2y + xy2 – x2y – xy2 – y3
10. Factorise each of the following:
(i) 27y3 + 125z3
(ii) 64m3 – 343n3
I. x3 + y3 = (x + y)(x2 + y2 – xy)
II. x3 – y3 = (x – y)(x2 + y2 + xy)
Ans. (i) Using the identity
x3 + y3 = (x + y)(x2 + – xy + y2), we have
27y3 + 125z3 = (3y)3 + (5z)3
= (3y + 5z)[(3y)2 – (3y)(5z) + (5z)2]
= (3y + 5z)(9y2 – 15yz + 25z2)
x3 – y3 = (x – y)(x2 + xy + y2), we have
64m3 – 343n3 = (4m)3 – (7n)3
= (4m – 7n)[(4m)2 + (4m)(7n) + (7n)2]
= (4m + 7n)(16m2 + 28mn + 19n2)
11. Factorise 27x3 + y3 + z3 – 9xyz.
x3 + y3 + z3 – 3xyz = (x + y + z)(x2 + y2 + z2
27x3 + y3 + z3 – 9xyz = (3x)3 + (y)3 + (z)3
∴ Using the identity
x3 + y3 + z3 – 3xyz = (x + y + z)(x2 + y2 + z2
(3x)3 + y3 +z3 – 3(3x)(y)(z)
= (3x + y +z)[(3x)2 + y2 + z2 – (3x × y)
= (3x + y +z)(9x2 + y2 + z2 – 3xy – yz – 3zx)
13. If x + y + z = 0, show that x3 + y3 + z3 = 3xyz.
Ans. Ans. Since x + y + z = 0
or x3 + y3 + 3xy(x + y) = –z3
or x3 + y3 + 3xy(–z) = –z3
or (x3 + y3 + z3) – 3xy = 0
If x + y + z = 0, then (x3 + y3 + z3 = 3xy.
14. Without actually calculating the cubes, find the value of each of the following:
(i) (–12)3 + (7)3 + (5)3
(ii) (28)3 + (–15)3 + (–13)3
Ans. (i) (–12)3 + (7)3 + (5)3
Let x = –12, y = 7 and z = 5
Then x + y + z = –12 + 7 + 5 = 0
x + y + z =0, then x3 + y3 + z3 = 3xyz.
∴ (–12)3 + (7)3 + (5)3 = 3[(–12)(7)(5)]
[∴ (–12) + 7 + 5 = 0]
Thus, (–12)3 + (7)3 + (5)3 = –1260
(ii) (28)3 + (–15)3 + (–13)3
Let x = 28, y = –15 and z = –13
∴ x + y + z =0, then x3 + y3 + z3 = 3xyz.
x + y + z =0, then x3 + y3 + z3 = 3xyz.
(28)3 + (–15)3 + (–13)3 = 3(28)(–15)(–13) [28 + (–15) + (–13) = 0]
Thus, (28)3 + (–15)3 + (–13)3 = 1638
15. Give possible expressions for the length and breadth of each of the following rectangles, in which their areas are given:
Area: 25a – 35a 2 + 12 Area: 35y2 + 13y – 12
Area of a rectangle = (Length) × (Breadth)
Ans. (i) Area = 25a2 – 35a + 12
We have to factorise the polynomial:
Splitting the co-efficient of a, we have
[∴ 25 × 12 = 300 and (–20) × (–15) = 300]
Thus, the possible length and breadth are (5a –3) and (5a – 4).
(ii) Area = 35y2 + 13y – 12
We have to factorise the polynomial:
Splitting the middle term, we get
[∴ 28 × (–15) = –420 and –12 × 35 = –420]
∴ 35y2 + 13y – 12 = 35y2 + 28y – 15y – 12
Thus, the possible length and breadth are (7y – 3) and (5y + 4).
16. What are the possible expressions for the dimensions of the cuboids whose volumes are given below?
(ii) Volume: 12ky2 + 18ky – 12k
Volume of a cuboid = (Length) × (Breadth) × (Height)
Ans. (i) Volume = 3x2 – 12x
On factorising 3x2 – 12x, we have
∴The possible dimensions of the cuboid are: 3, x and (x – 4) units.
(ii) Volume = 12ky2 + 8ky – 20k
12ky2 + 8ky – 20k = 4[3ky2 + 2ky – 5k]
(Splitting the middle term)
= 4k[3y(y – 1) + 5(y – 1)]
= 4k × (3y + 5) × (y – 1)
Thus, the possible dimensions are:
4k, (3y + 5) and (y – 1) units.