CBSE Class 9 Physics, Motion

Notes for Motion
Distance�Time Graphs
•   For a body at rest
•   As the slope is zero, so speed of the body is zero.
      
•   For a body moving with uniform speed
      
•   For accelerated motion.
•   The slope of graph is increasing with time
      
•   For decelerated (speeding down) motion.
•   Slope of graph is decreasing with time
      
Velocity�Time Graphs
•   When a body moving with a uniform velocity.
•   The slope of AB indicates zero acceleration
      
•   When a body starts from rest and moves with uniform acceleration.
•   Greater is the slope of v-t graph, greater will be the acceleration
      
•   When a body is moving with uniform acceleration and its initial velocity is not zero.
      
•   When a body is moving with increasing acceleration.
•   Slope increases with time.
      
•   When a body is moving with decreasing acceleration.
•   Slope decreases with time.
      
•   When a body is moving with a uniform retardation and its initial velocity is not zero.
•   As θ > 90°, graph has a negative slope.
      
Facts that Matter
•   An object is said to be in motion when its position changes with time.
•   We describe the location of an object by specifying a reference point. Motion is relative. The total path covered by an object is said to be the distance travelled by it.
•   The shortest path/distance measured from the initial to the final position of an object is known as the displacement.
•   Uniform motion: When an object covers equal distances in equal intervals of time, it is said to be in uniform motion.
•   Non-uniform motion: Motions where objects cover unequal distances in equal intervals of time.
•   Speed: The distance travelled by an object in unit time is referred to as speed. Its unit is m/s.
•   Average speed: For non-uniform motion, the average speed of an object is obtained by dividing the total distance travelled by an object by the total time taken.
      
•   Velocity: Velocity is the speed of an object moving in definite direction. S.I. unit is m/s.
      
•   Acceleration: Change in the velocity of an object per unit time.
      
•   Graphical representation of motions
      (i)   Distance-time graph
      For a distance-time graph time is taken on x-axis and distance is taken on y-axis.
      [Note: All independent quantities are taken along the x-axis and dependent quantities are taken along y-axis.]
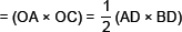
OA = CD = u
      OE = CB = v
      OC = AD = t
      BD = BC – DC (Change in velocity)
      AD is parallel to OC.
      ∴ BC = BD + DC = BD + OA
      ∴ BC = v and OA = u
      We get v = BD + u
      ∴ BD = v – u             ...(1)
      In velocity-time graph, slope gives acceleration.
      
      Substituting (2) in (1) we get
      BD = v – u
      at = v – u
      ∴ v = u + at
      (ii)   Equation for position-time relation:
      
      Let us assume,
      s = distance travelled by the object
      t = in time t
      a = with uniform acceleration.
      ∴ Distance travelled by the object is given by area enclosed with OABC in the graph.
      ∴ s = OABC
      = (area of rectangle OADC) + (area of DABD)
      
      Substituting
      OA = u, OC = AD = t and BD = at
      We get
      
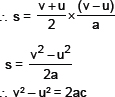
      (iii)   Equation for position-velocity relation:
      
      s = distance travelled by the object
      t = in time t
      a = moving with uniform acceleration
      s = area enclosed by trapezium OABC
      
      Substitute value of ‘t’ in (1)
      
•   Uniform circular motion: When a body moves in a circular path with uniform speed, its motion is called uniform circular motion.